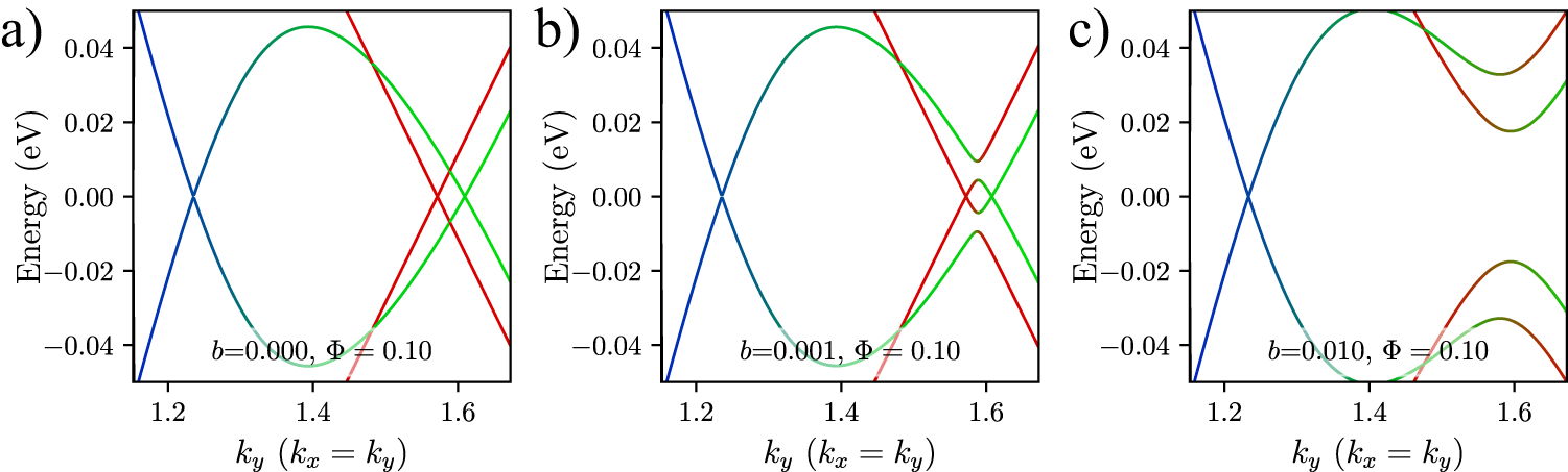
Fig. 3: Number of nodes in a hole-doped superconductor.

We show the evolution of the Fermi surface along a diagonal cut through the nodal region of the Brillouin zone, focusing on the region where the hole pocket is present in the normal state. a The Fermi surface formed from the hybridized c electrons and f1 spinons with an isolated Dirac cone from the π-flux spin liquid of the f2 layer. For very small values of b, when the f2 spinons hybridize with the c electrons and f1 spinons, the Fermi surface has 12 nodes, as shown in (b). For larger values of b, there are 4 nodes on the Fermi surface, as shown in (c).