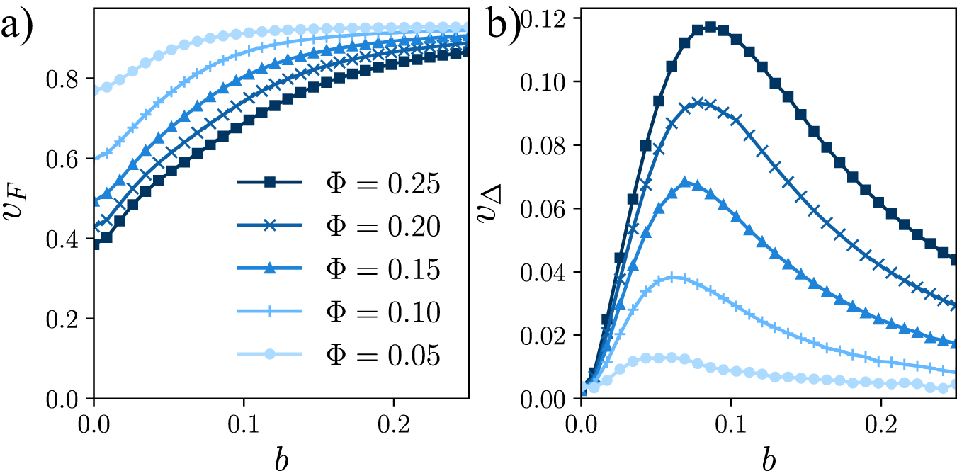
Fig. 4: Node velocities in superconductor for hole-doped normal state.

We show the velocities vF (a) and vΔ (b) as a function of b for different values of Φ. For small b, vF takes on the Fermi velocity of the normal state Fermi surface at kx = ky, while vΔ begins at 0 when B = 0 and increases with finite b as the effective pairing grows. For large b, vF approaches the Fermi velocity of the un-hybridized c electron bands, while vΔ tends to 0.