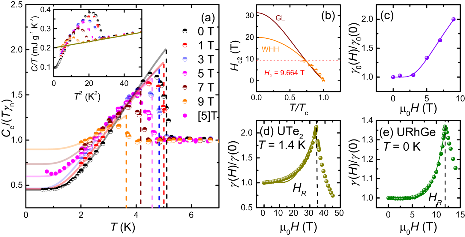
Fig. 1: Specific heat data of Pr3Cr10−xN11 under different magnetic fields.
From: Unconventional superconductivity in Cr-based compound Pr3Cr10−xN11

a Temperature dependence of electronic specific heat coefficient Ce/(γnT) with different applied magnetic fields are presented in different colors: μ0H = 0 T (black), μ0H = 1 T (red), μ0H = 3 T (blue), μ0H = 5 T (magenta), μ0H = 7 T (wine), μ0H = 9 T (orange). The solid lines are the fits with full-gap-model. The dashed lines indicate Tc for different fields, determined by the middle of the jump. It is worth mentioning that the magenta full-solid dots were measured on an additional sample. To show the difference, the data were named as [5] T. Inset: C/T vs. T2 for different applied fields. The solid line is the fit of the normal state data. b Temperature dependence of Hc2 determined from specific heat measurements are shown in orange. Solid lines are the fits of WHH and GL-model (see the text). Dashed line: the Pauli paramagnetic limit. The error bars represent the estimated uncertainty for Tc under corresponding magnetic fields. c–e Sommerfeld coefficient γ(H) of Pr3Cr10−xN11 (indicated by purple dots), UTe2 (indicated by dark-yellow dots)19, and URhGe (indicated by olive dots)51. Solid lines: fits of \({\gamma }_{0}(H)/{\gamma }_{0}(0) \sim {e}^{-{H}^{* }/H}\).