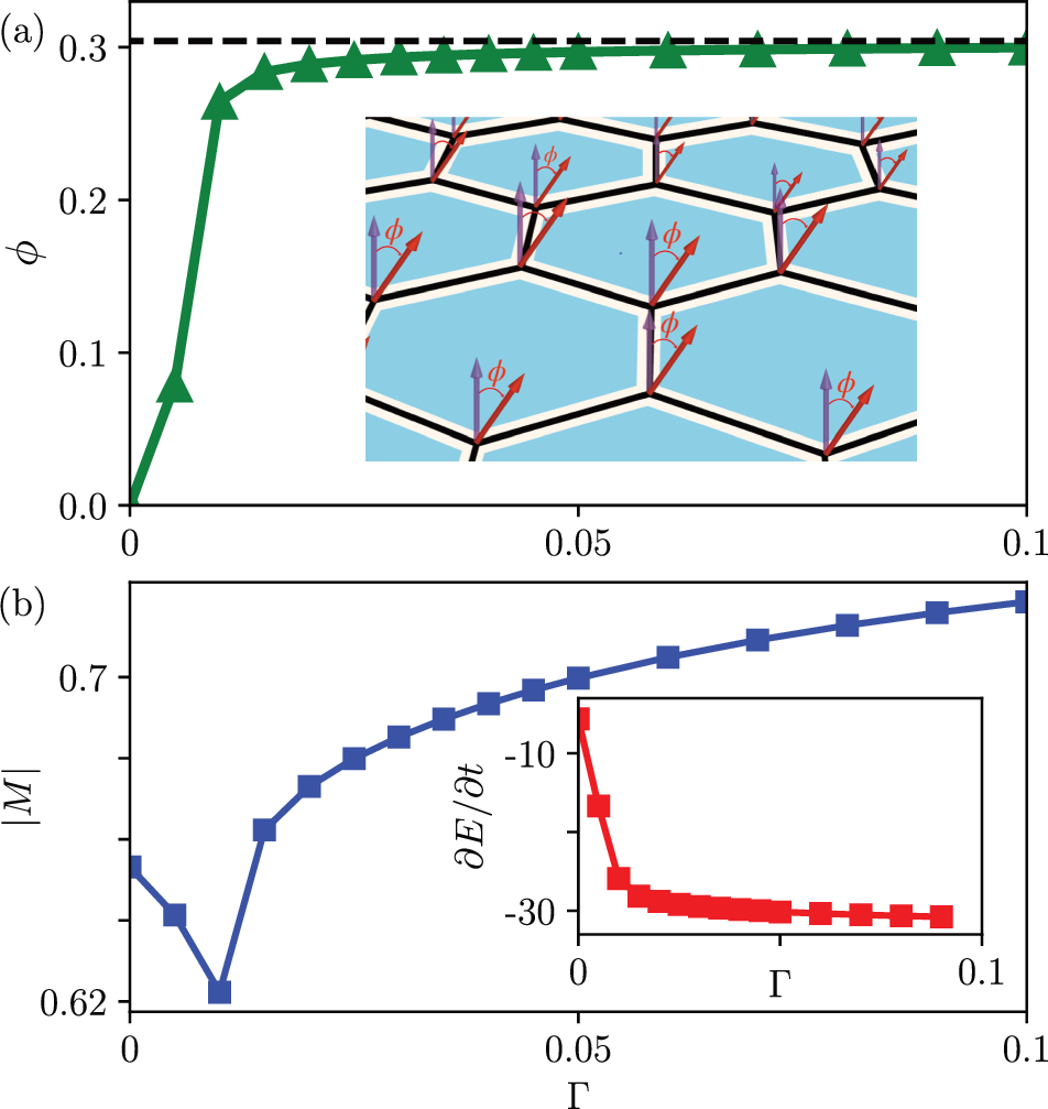
Fig. 3: Effect of ferromagnetic off-diagonal symmetric exchange Γ.
From: Kinetic ferromagnetism and topological magnons of the hole-doped Kitaev spin liquid

a The polar angle \(\phi \equiv {\cos }^{-1}\left({M}^{z}/| M| \right)\) representing the magnetization direction as a function of Γ, where ϕ = 0 indicates the [001] direction and the black dashed line the [111] direction. Inset: a finite FM Γ > 0 can induce a rotation of the spin polarization direction from [001] (transparent purple arrows) to [111] (solid red arrows) by an angle ϕ. b The amplitude of magnetization as a function of Γ for the one-hole doped model with t = 20K on a YC4 cylinder with length Lx = 12, corresponding to doping level δ ≈ 0.01. Inset: The first-order derivatives of ground-state energy versus Γ.