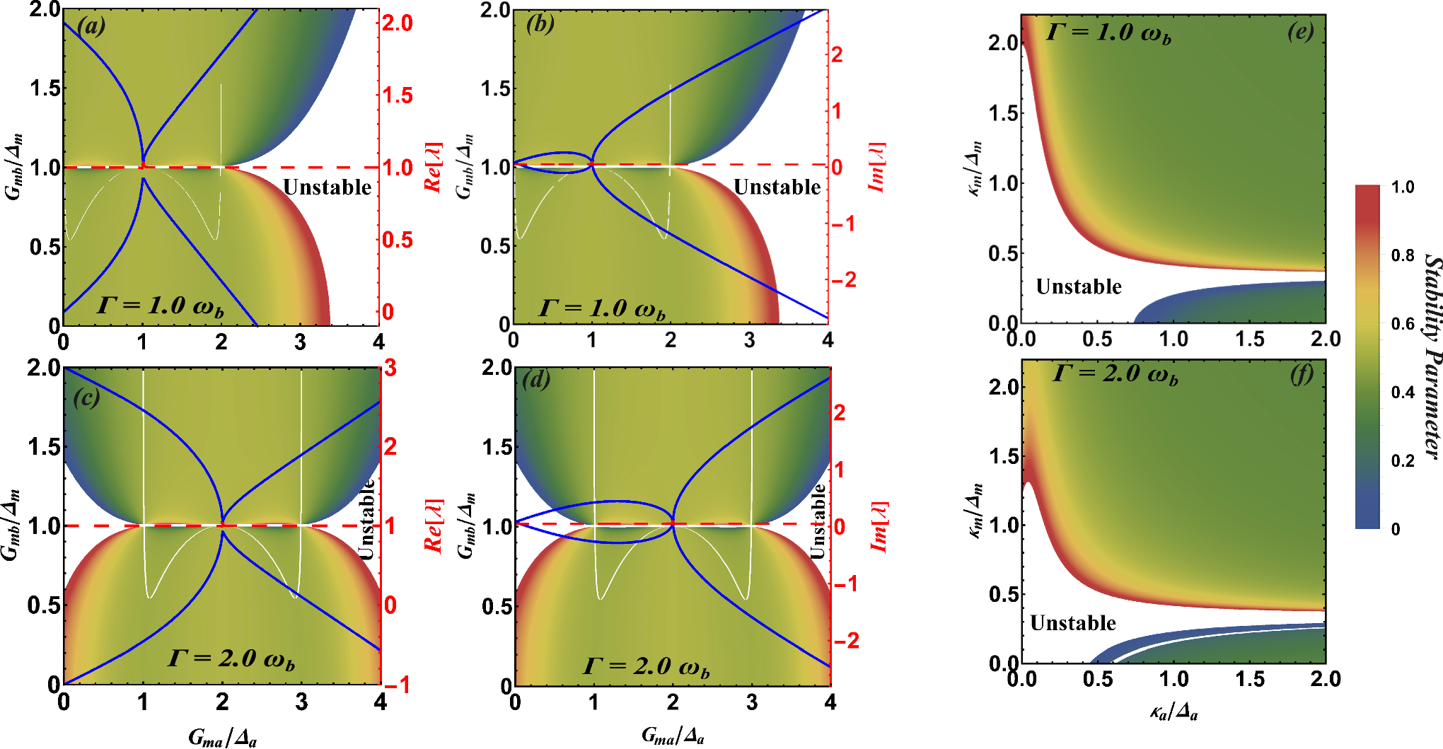
Fig. 5: Stability parameter \({\mathcal{S}}\) versus normalized Gma/Δa and Gmb/Δm.
From: Steering entanglement through exceptional points in non-hermitian cavity magnomechanics

a, b are for non-hermitian strength Γ/ωb = 1.0, while c, d are for Γ/ωb = 2.0, respectively. e, f illustrate \({\mathscr{S}}\) versus κa/Δa and κm/Δm at fixed Gma/Δa = Γ/ωb = 1 and θ = π/2. The other parameters used in calculation are same as in Fig. 2.