Fig. 7: Non-Hermitian control of entanglement.
From: Steering entanglement through exceptional points in non-hermitian cavity magnomechanics

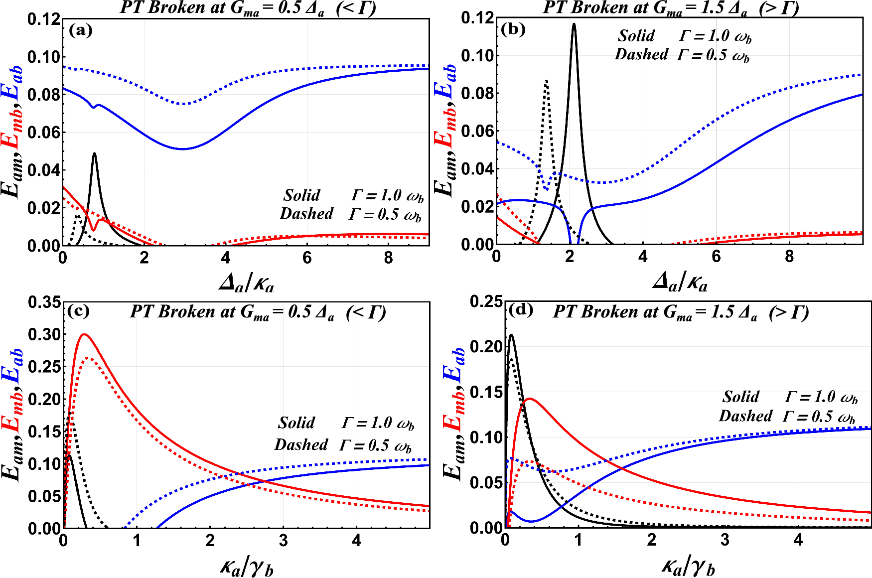
The bipartite entanglement En as a function of normalized microwave cavity mode detuning Δa/κa (a, b) and cavity dissipation κa/γb (c, d). The blue, red, and black curves represent Eam, Emb, Eab, respectively. The solid and dashed lines indicate that the values of non-Hermitian strength Γ/ωb are 1 and 0.5, respectively. The other parameters are the same with 2.