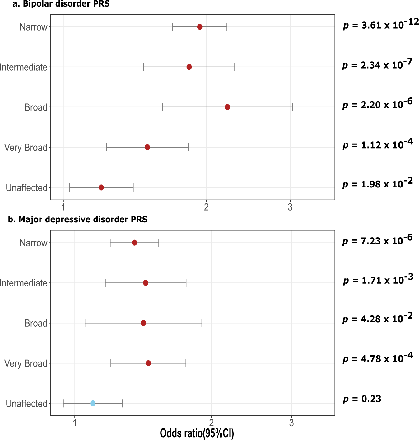
Fig. 2: Odds ratio (OR) plots with 95% confidence intervals (95% CI) for bipolar disorder (BIP) and major depressive disorder (MDD) PRS.

All comparison analyses follow the hypothesis that ISHDSF subjects have a higher PRS for BIP (a) or MDD (b) compared to population controls. All PRS have been normalized using Z score standardization prior to obtaining ORs. The plot shows OR (filled circles) with 95% CI for each case definition compared to population controls. One-sided p values after multiple testing corrections are provided on the right side of the Y axis. Red dot represents significant and the blue dot represents non-significant results.