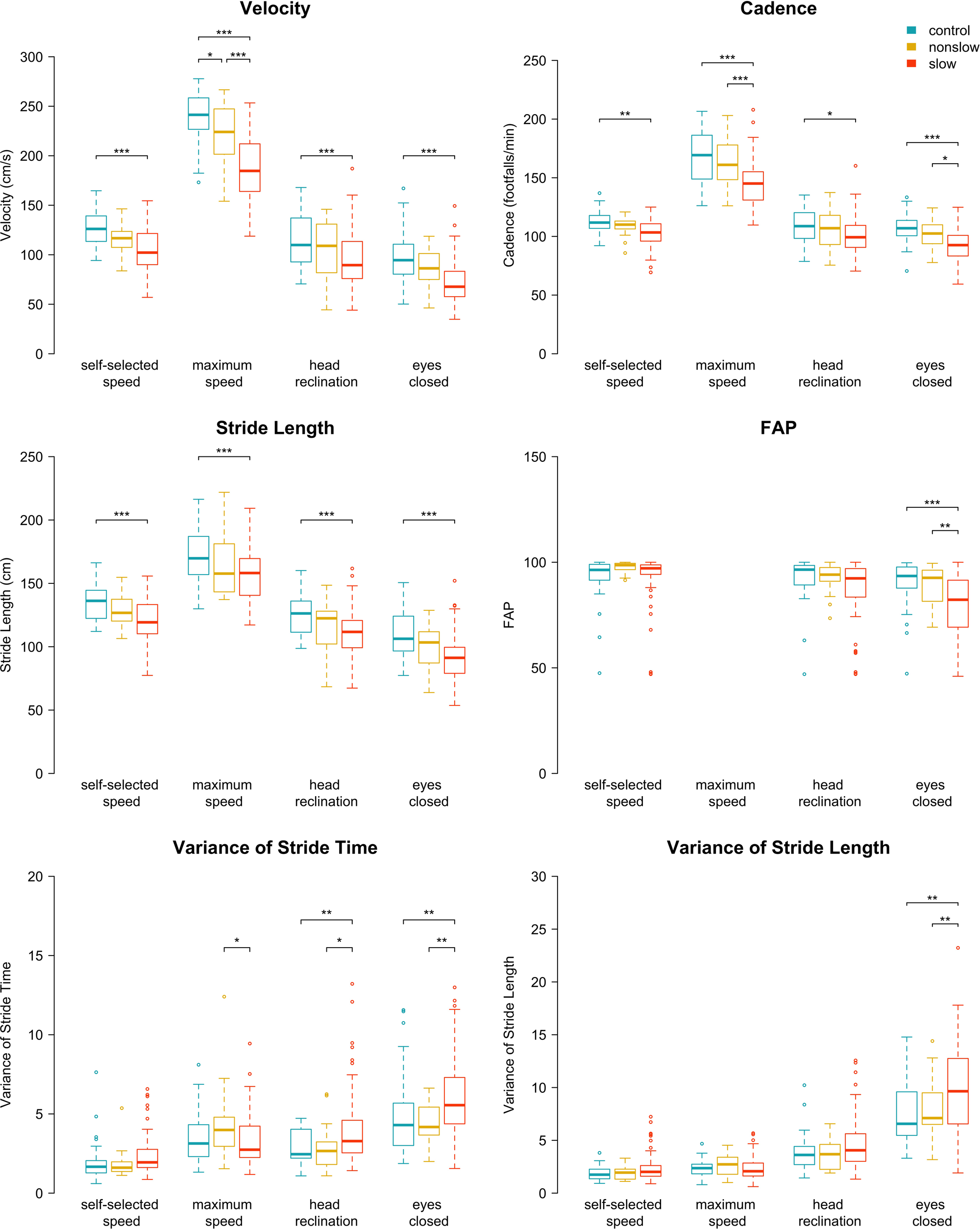
Fig. 1: Boxplots per group and condition for each gait parameter.

Box represents the interquartile range (IQR; distance between first quartile Q1 to third quartile Q3) with median in between. Whiskers represent the outermost values within Q1 − 1.5×IQR and Q3 + 1.5×IQR. Outliers are plotted individually as circles. Significant differences between groups within the condition are marked with brackets. For comparisons with healthy controls, the results of the main ANCOVA are depicted and for comparisons between patient groups, the results of the second ANCOVA are illustrated. FAP functional ambulation performance score; blue (left): healthy controls; yellow (middle): non-psychomotor slow; red (right): psychomotor slow. *p ≤ .05; **p ≤ .01; ***p ≤ .001.