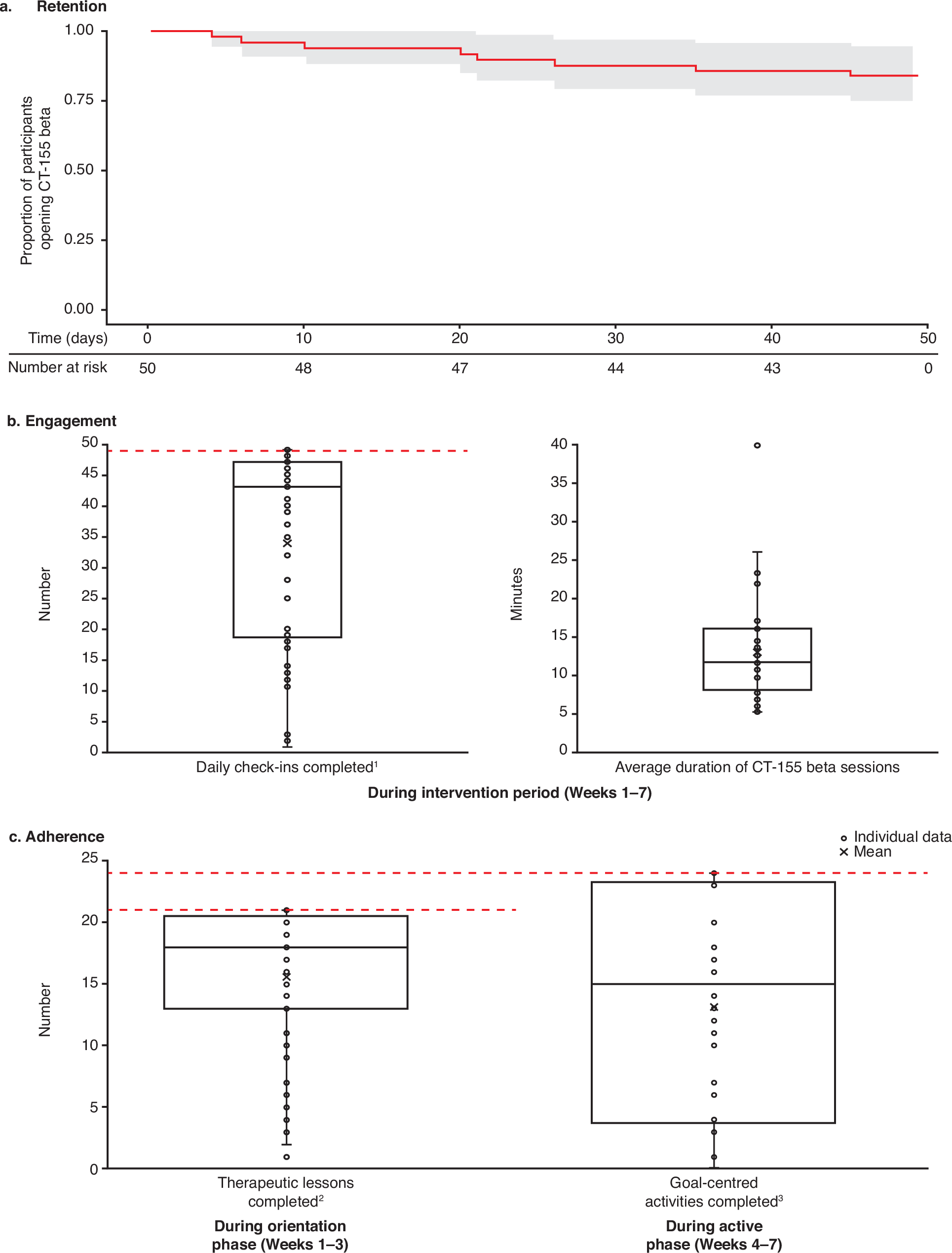
Fig. 2: Participant engagement and adherence with CT-155 beta.

a Kaplan–Meier curve showing participant retention (last app open) (b) summary of participant engagement metrics and c summary of adherence metrics. 1Forty-nine total possible days; 2Twenty-one total therapeutic lessons (18 required core and 3 bonus lessons); and 3defined as completing an activity or reporting the completion of an activity in CT-155 beta. The time (days) to when participants stopped engaging with CT-155 beta during the engagement period (n = 50) was analyzedusing a Kaplan–Meier survival plot. If a participant skipped some days, but returned to continue with activities, then the last day of their engagement was considered the day that they stopped engaging with CT-155 beta. Box plots depict the median and IQR of participant engagement metrics; the median is represented by a horizontal line in each box. The whiskers depict the range within 1.5 times the IQR, values outside this range are considered outliers. The red dashed line indicates the maximal attainable number where applicable.