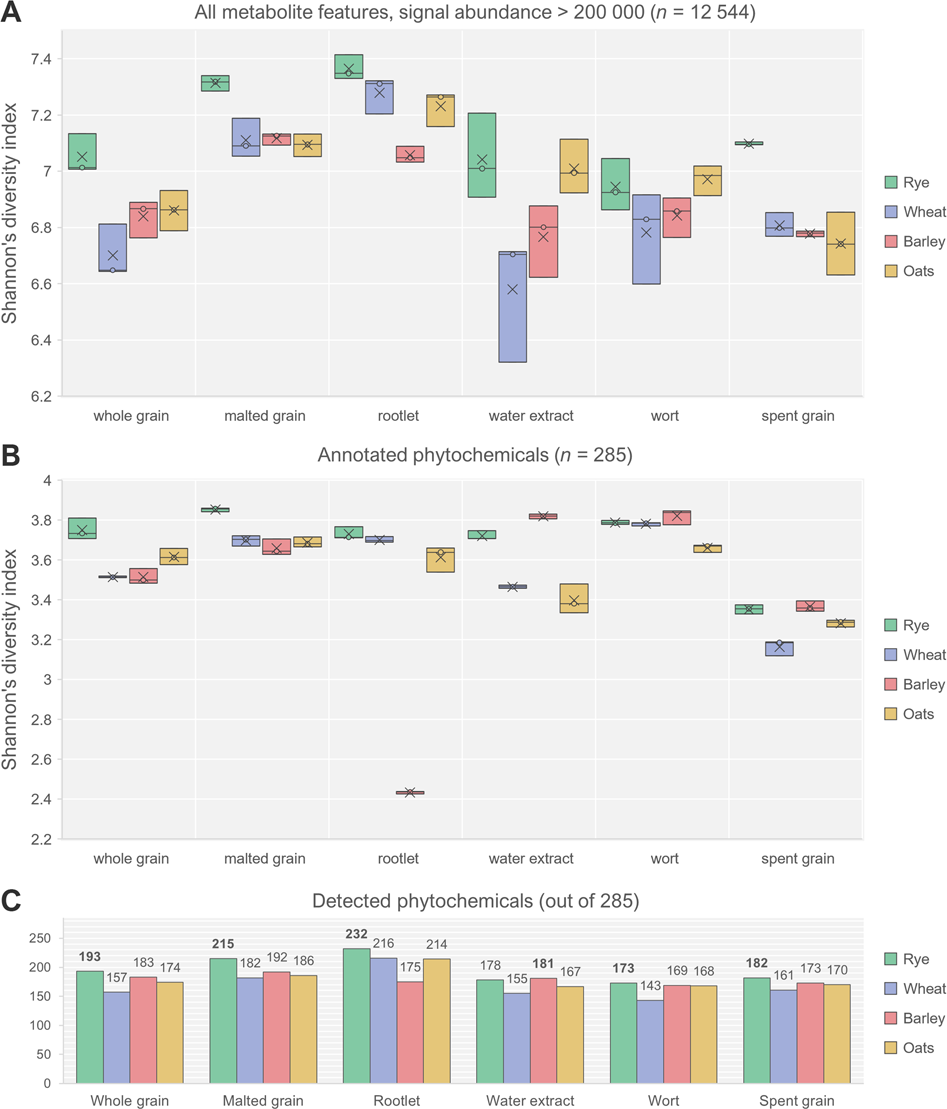
Fig. 5: The metabolite and phytochemical diversity of the studied cereal samples.
From: Side-stream products of malting: a neglected source of phytochemicals

a Shannon’s diversity index of all the detected metabolite features with signal abundance over 200,000 counts (box plot with first and third quartiles, average [×] and median [○] values). b Shannon’s diversity index of all the annotated phytochemicals. c The richness (number of detected phytochemicals) in each sample type (signal-to-noise ratio > 5 considered as limit of detection).