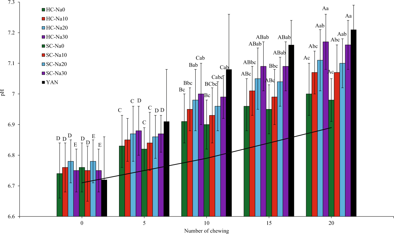
Fig. 4: pH values of saliva after chewing different types of noodles at 0, 5, 10, 15, and 20 chews.

Error bars indicate mean values ± standard deviations (n = 10) values. [—] Saliva conductivity after chewing no noodles (blank) with a fake chewing action. Different lowercase letters indicate significant differences (P < 0.05) between samples for each number of chewing. Different uppercase letters indicate significant differences (P < 0.05) between chewing time for each sample. No significant difference was reported at 0 and 5 chews between samples. YAN was used as a reference and not included in the statistic.