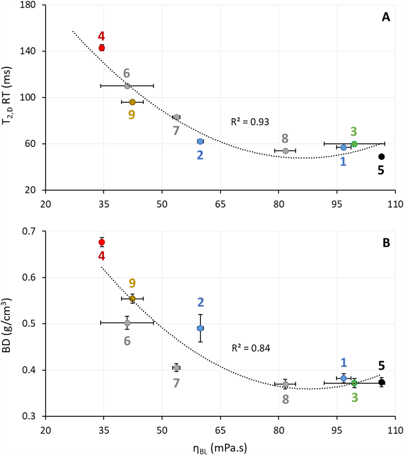
Fig. 3: Plots of specific batter and batter liquor (BL) properties.
From: Sucrose substitution in cake systems is not a piece of cake

Relation between (A) T2,D relaxation time (RT) and BL viscosity (ηBL) and (B) batter density (BD) and ηBL. Recipe numbers are those of the different batters listed in Table 1. Error bars show the standard deviations from the means of three analytical replicates.