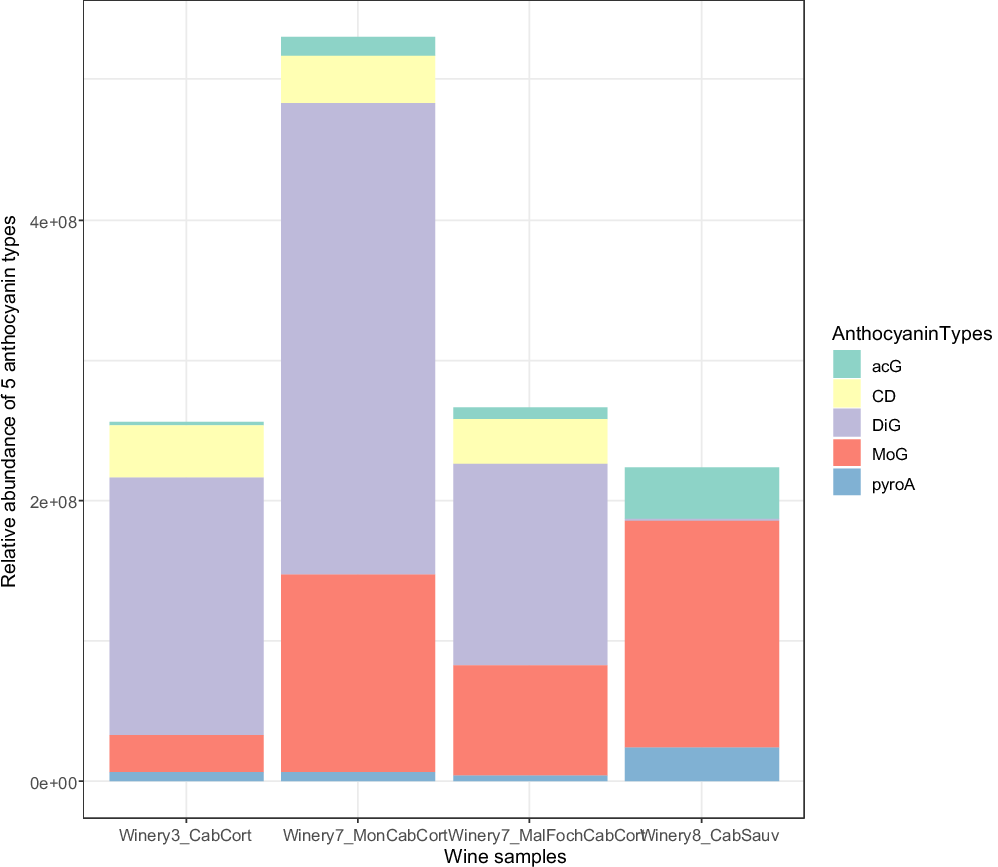
Fig. 2: Total content and proportion of acylated (ac), p-coumaroylated diglucosides (CD), diglycosylated (DiG), glycosylated (MoG), and pyranoanthocyanin (pyroA) anthocyanins in each wine sample.

The total content is expressed as a sum of each individual anthocyanin detected in this study as reported by Xu et al.25. Ac expressed the sum of Dp3acG, Cn3acG, Pt3acG, Pn3acG, Mv3acG; CD expresses the sum of Pt3,5CD, Dp3,5CD, Pn3,5CD, Mv3,5CD; DiG expresses the sum of Dp3,5G, Cn3,5G, Pt3,5G, Pn3,5G, Mv3,5G; MoG expresses the sum of Dp3G, Cn3G, Pt3G, Pn3G, Mv3G, pyroA expresses the sum of VitA and VitB. The anthocyanins are organised according to their tentative assignment (Table 1). The unknown compounds and the trace amounts of triglucosides are not included in this graph.