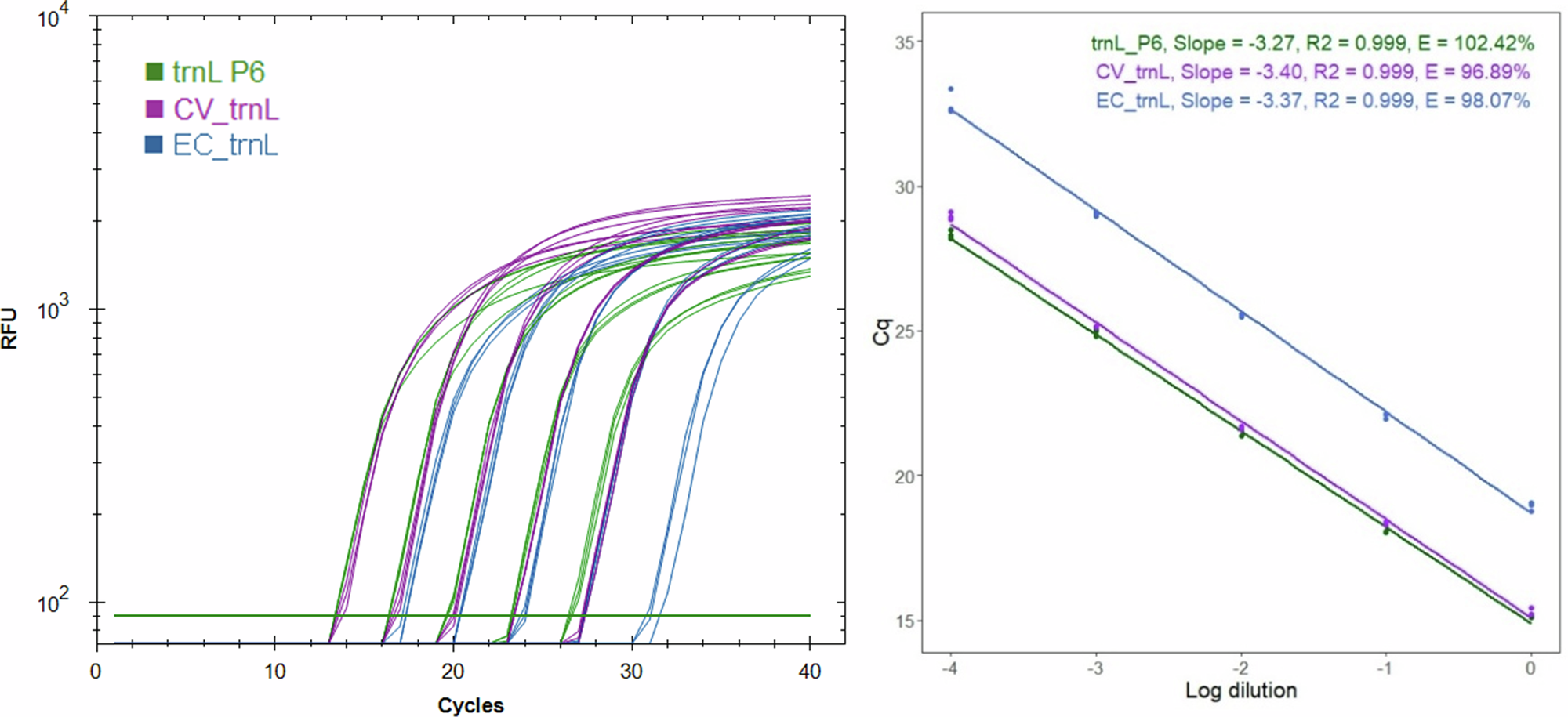
Fig. 1: Primer efficiencies.
From: Tracing the botanical origins of UK heather honey by relative quantification of plant DNA

Amplification of trnL P6
, CV_trnL
, and EC_trnL
markers with a standard curve of honey extract (1X – 10,000X diluted). The raw data (RFU) and regression (Cq) are marked. The three technical replicates are shown for each reaction.