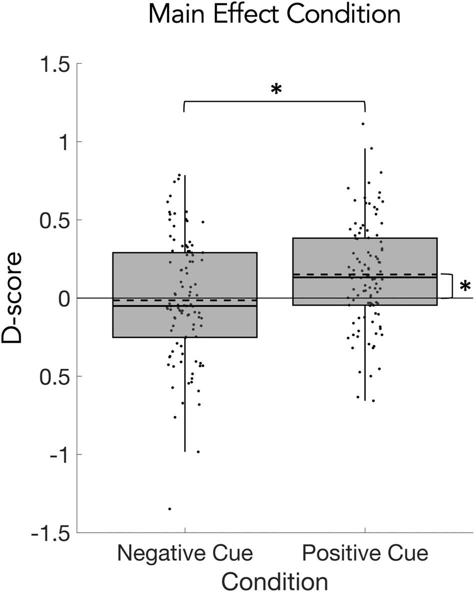
Fig. 5: Results of the single category implicit association test.

D-scores for the positive and negative cues averaged across young and older adults. The D-score designates an association of the cue with positive or negative valence. D-scores for the positive cue were significantly higher than for the negative cue (main effect of condition). Only the D-score for the positive cue was significantly different from zero. Statistical comparisons were made using a 2 × 2 mixed design (between factor age; within-factor condition) permutation F-test and two-sided one-sample permutation t-tests (with Bonferroni correction). Data is presented in boxplots overlaid with data points. Boxes span from the lower to the upper quantile and whiskers of the boxplots depict data points that are the furthest from the center while still being inside the range of 1.5 times the interquartile range from the lower or upper quartile. Solid lines indicate the median, dashed lines indicate the mean. Asterisks mark significant differences (p < 0.005).