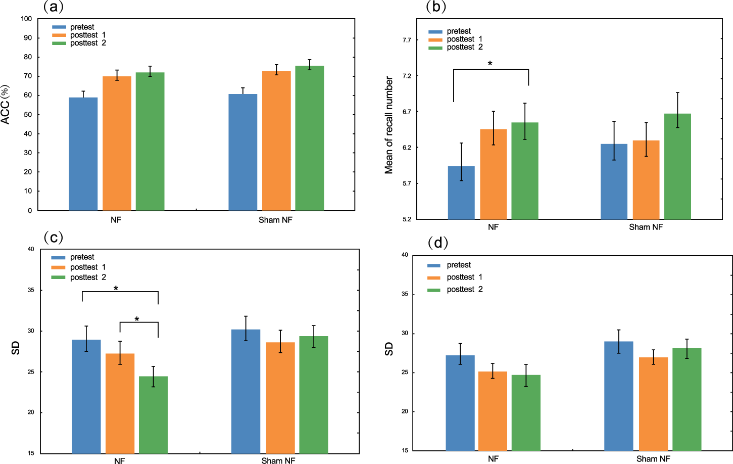
Fig. 2: Behavioral results.
From: Alpha neurofeedback training improves visual working memory in healthy individuals

a The mean accuracy of modified Sternberg task in each group. b The performance of Corsi-block tapping task. c Color-recall task performance of the two groups in the interference condition. d Color-recall task performance of the two groups in the non-interference condition. The error bars indicate SE.