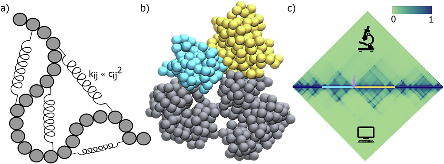
Fig. 1: Bead spring polymer model of wildtype sox9-kcnj2 loci.
From: Predicting gene expression changes from chromatin structure modification

a Schematic representation of polymer model of chromatin is represented by chain of beads where each bead represents 10 kb genomic region and the spring represents the spring constant between two beads and the spring constant (kij) between two beads i and j is proportional to square of the contact probability (cij) between i and j; b Time snapshot of the 3D structure of WT cell (cyan and yellow globular domains show the kcnj2 and sox9 TADs, respectively, and silver beads show other genomic regions of the considered 6 Mb region (drawn using VMD84); c The contact matrices derived from cHiC experiments performed in E12.5 limb buds (top) and the polymer model (bottom) for WT cell (Pearson correlation = 0.969). Schematic of the genomic region highlights kcnj2 TAD (cyan line) and sox9 TAD (yellow line) separated by CTCF boundary (purple marker).