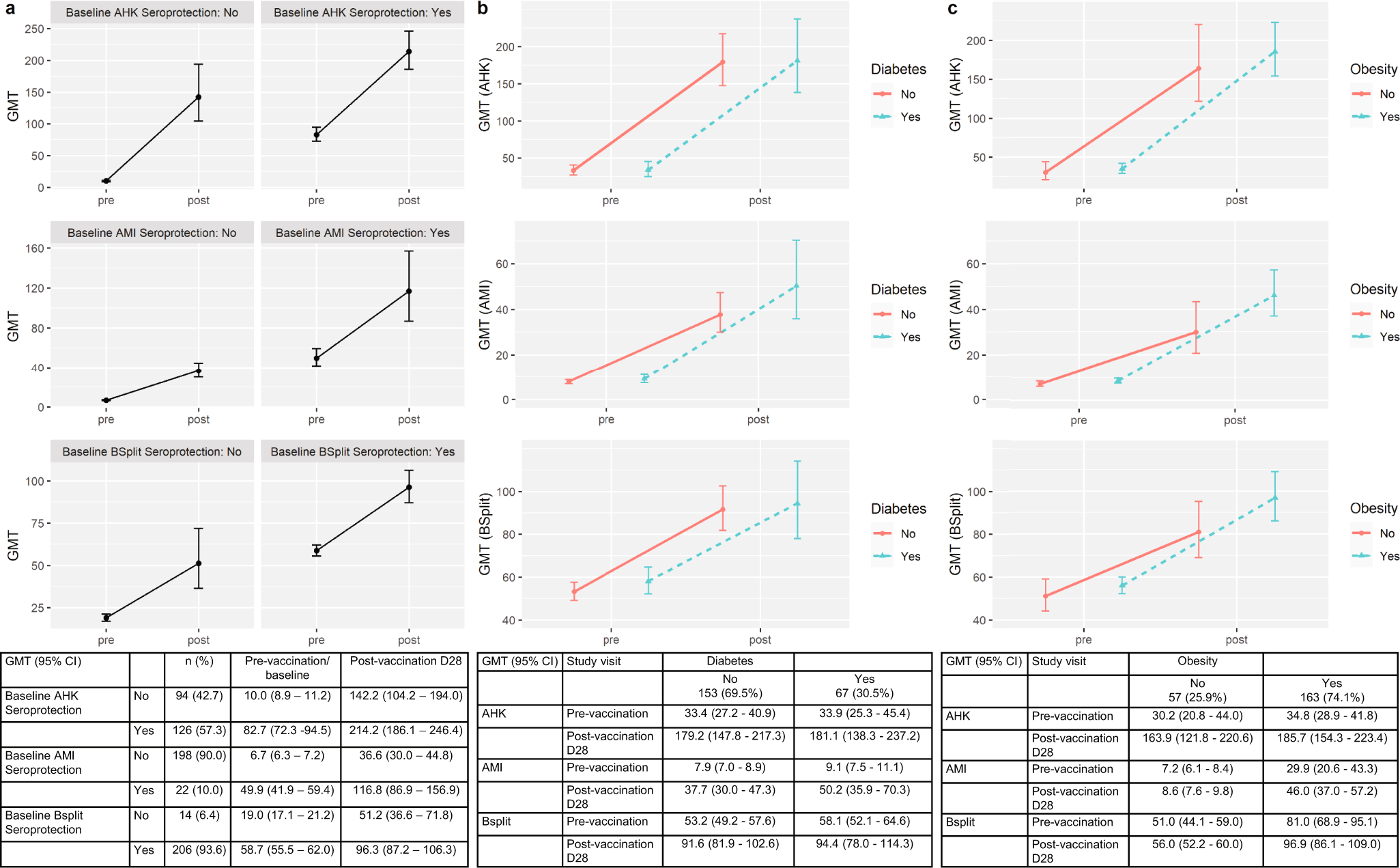
Fig. 2: Geometric mean titers (GMT) pre-and post-influenza vaccine among full cohort for influenza A/HK/H3N2, A/MI/H1N1, and B-split, and among those with and without diabetes mellitus and obesity.

Panels a shows line graphs depicting GMT and 95% confidence intervals pre- and post-influenza vaccination for A/HK/H3N2, A/MI/H1N1 and B-split for the full cohort, subcategorized by their baseline seroprotection status (HAI of at least 1:40) for each respective strain. Panels b shows GMT and 95% confidence intervals pre- and post-influenza vaccination for the three strains amongst those with diabetes mellitus (n = 67) compared to those without. Panels c show GMT and 95% confidence intervals pre-and post-influenza vaccination for the three strains amongst those with obesity (n = 163, applying the same definition as in Tables 1 and 2) compared to those without. The embedded table displays the GMT and 95% CI data as shown in the corresponding panel line graphs.