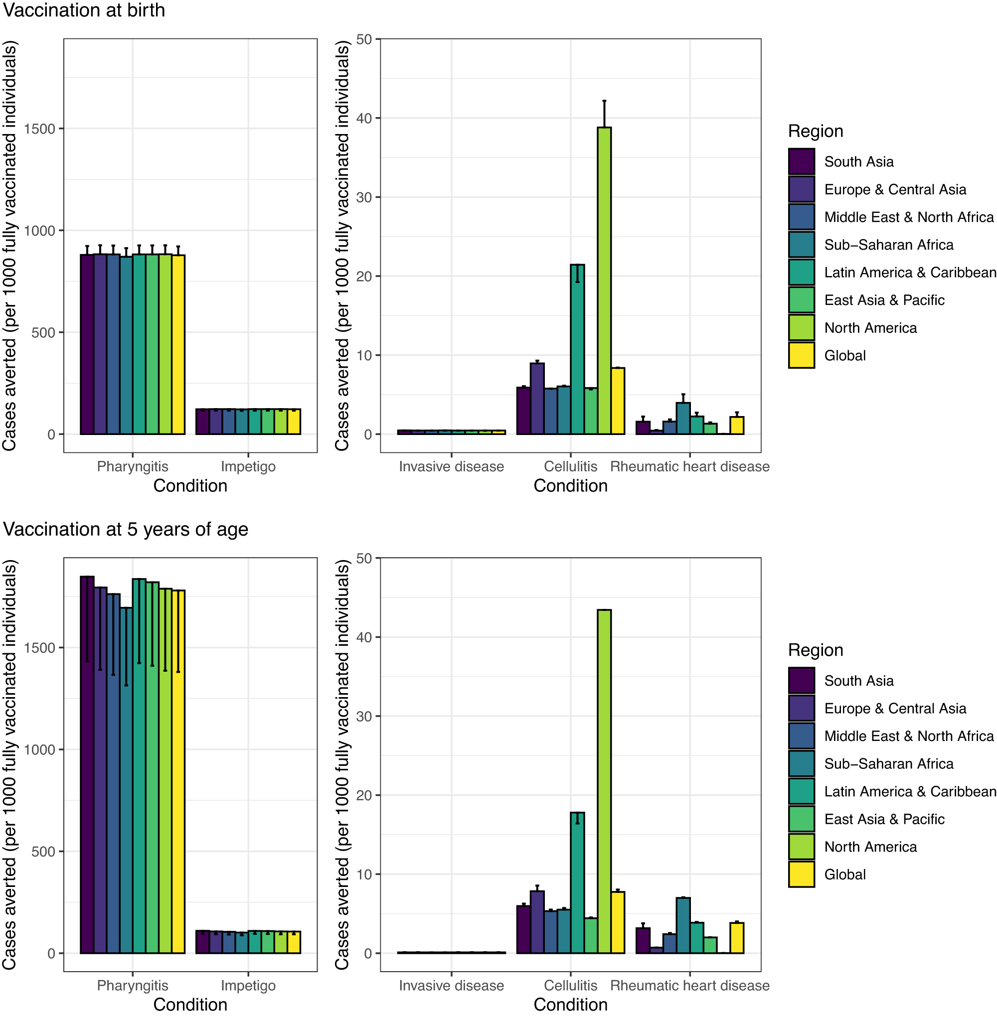
Fig. 3: Vaccine impact at the regional and global levels.
From: Modeling the potential health impact of prospective Strep A vaccines

The vaccine impact on cases averted per 1000 fully vaccinated individuals is stratified at the regional (United Nations regions) and global levels for different scenarios (estimate for scenario 1 and range across the six scenarios), based on the lifetime health impact of vaccination at birth or 5 years of age for 30 vaccinated cohorts from year of vaccine introduction on Strep A disease burden (pharyngitis, impetigo, invasive disease, cellulitis, and rheumatic heart disease). The vertical bars show the estimates for scenarios 1, 3, and 5 (which are equal), and the error bars show the estimates for scenarios 2, 4, and 6 (which are equal). Note the difference in scale between the left panel (pharyngitis and impetigo) and the right panel (invasive, cellulitis and rheumatic heart disease).