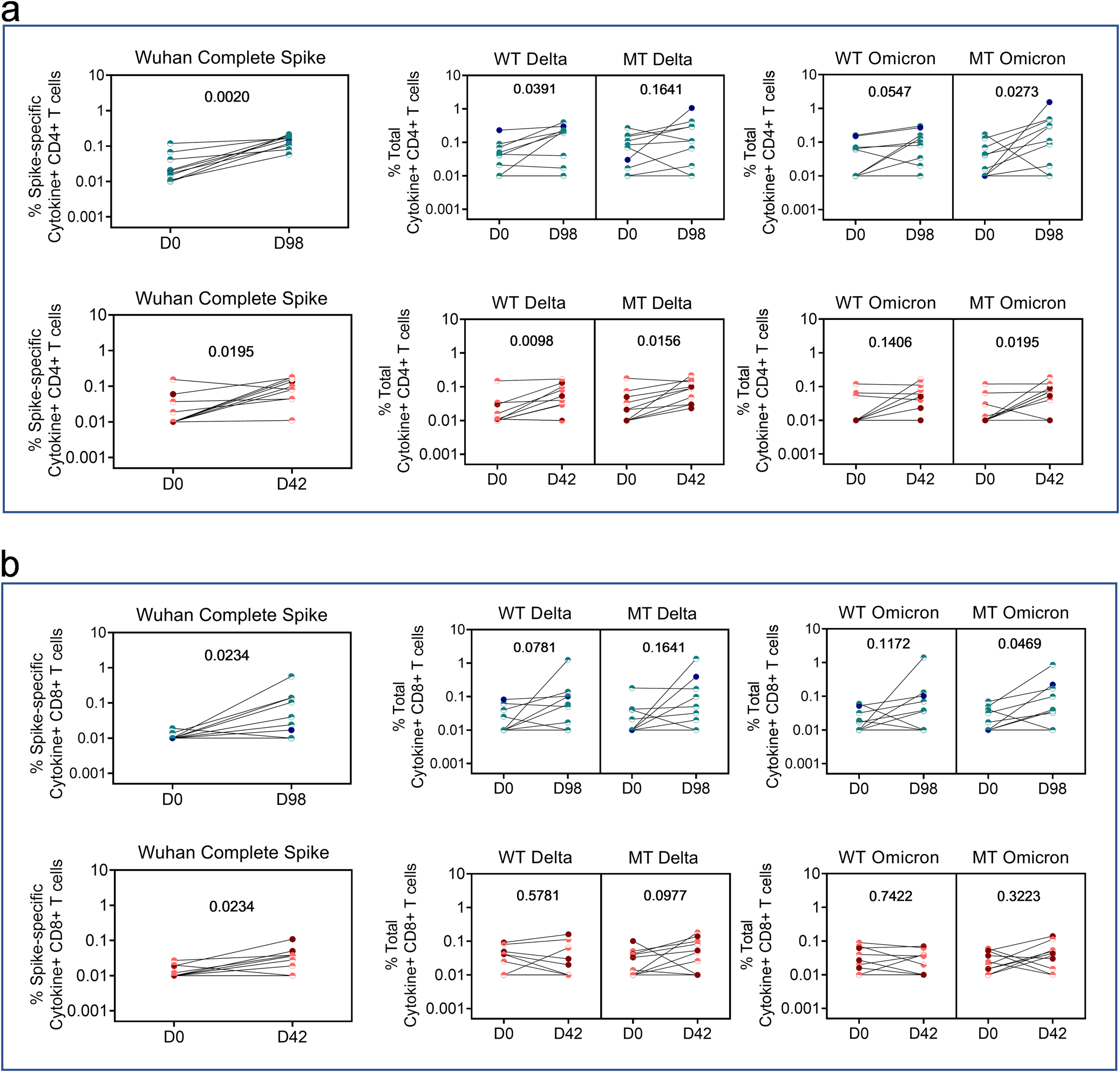
Fig. 6: Vaccine-induced T-cell responses to ancestral Wuhan and other variants of concern (VOC).

PBMCs from COVISHIELDTM (n = 10) and COVAXIN® (n = 10) vaccinees at baseline (D0) and 2 weeks post-vaccination (D98 for COVISHIELDTM and D42 for COVAXIN®) were either stimulated with complete spike, mutant Delta or BA.1 and BA.2 Omicron and their matched wild-type (WT) reference peptide pools (1 µg/ml) for 20 h. a CD4+ and b CD8 + T-cells were analyzed for intracellular expression of total cytokine+ cells (IFN-γ or IL-2 or TNF-a) obtained from Boolean gating in FlowJo. Line graphs represent background subtracted CD4+ and CD8 + T-cell frequencies expressing effector cytokines. Statistical analyses were performed using a paired Wilcoxon test.