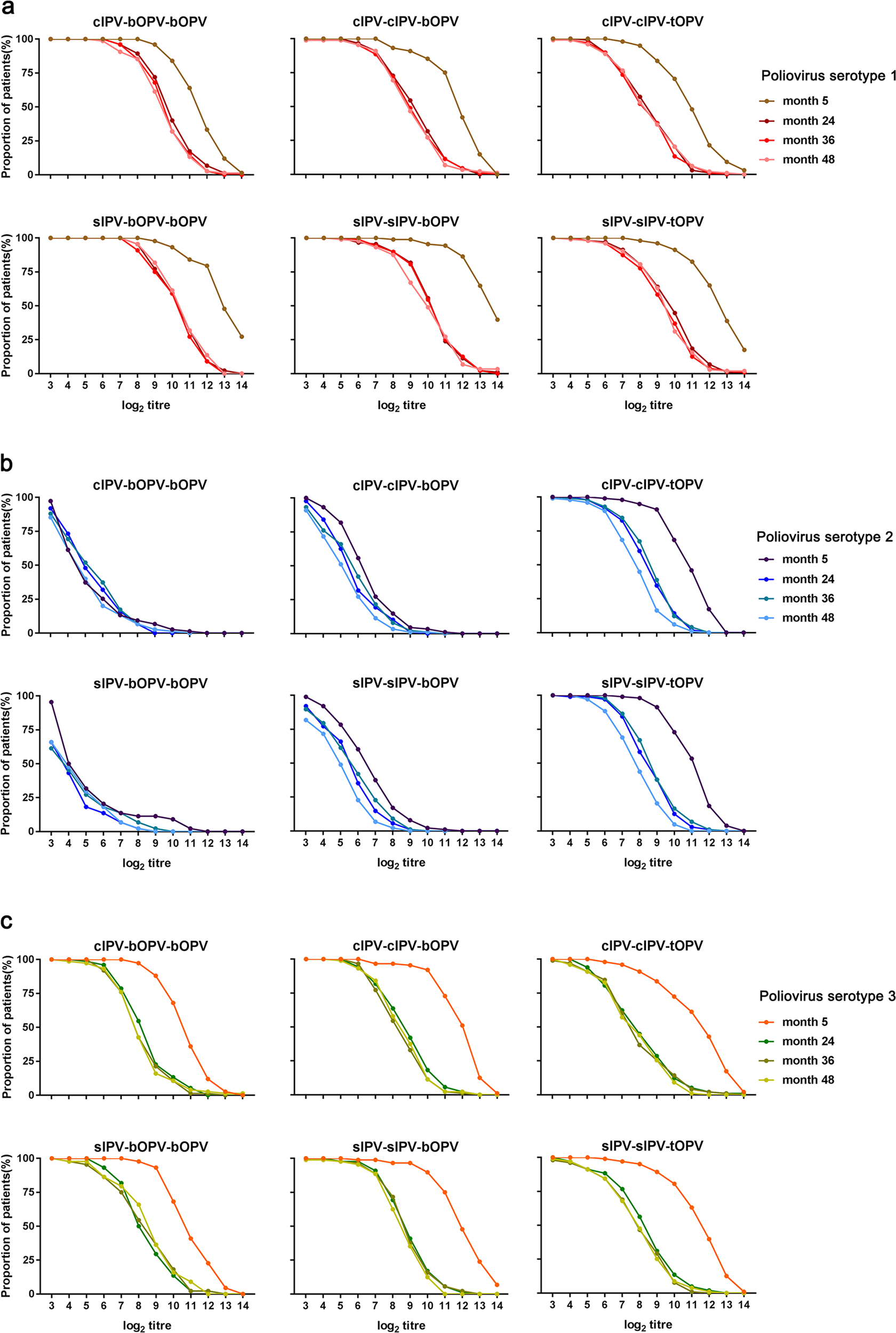
Fig. 2: Changes in poliovirus-specific antibody levels along the sampling time series axis.
From: Immune persistence after different polio sequential immunization schedules in Chinese infants

Reverse cumulative distribution curves showing the distribution of serum neutralizing antibody titres against type 1 (a), type 2 (b), and type 3 (c) polioviruses in participants vaccinated with different immunization schedules at 5, 24, 36 and 48 months of age.