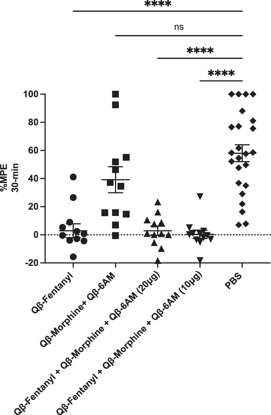
Fig. 7: Combined fentanyl and heroin vaccine formulation shows protection against fentanyl-induced anti-nociception.

Fentanyl-induced anti-nociception measured by tail-flick assay in vaccinated mice challenged with fentanyl (0.0625 mg/kg, s.c.) at 3 weeks post-second immunization. % Maximum Possible Effect (%MPE = [(drug – basal response)/(20 s – basal response time)] × 100%). Responses at 30 min post-injection are shown. ****p < 0.0001; Dunn’s multiple comparison test; GraphPad Prism.