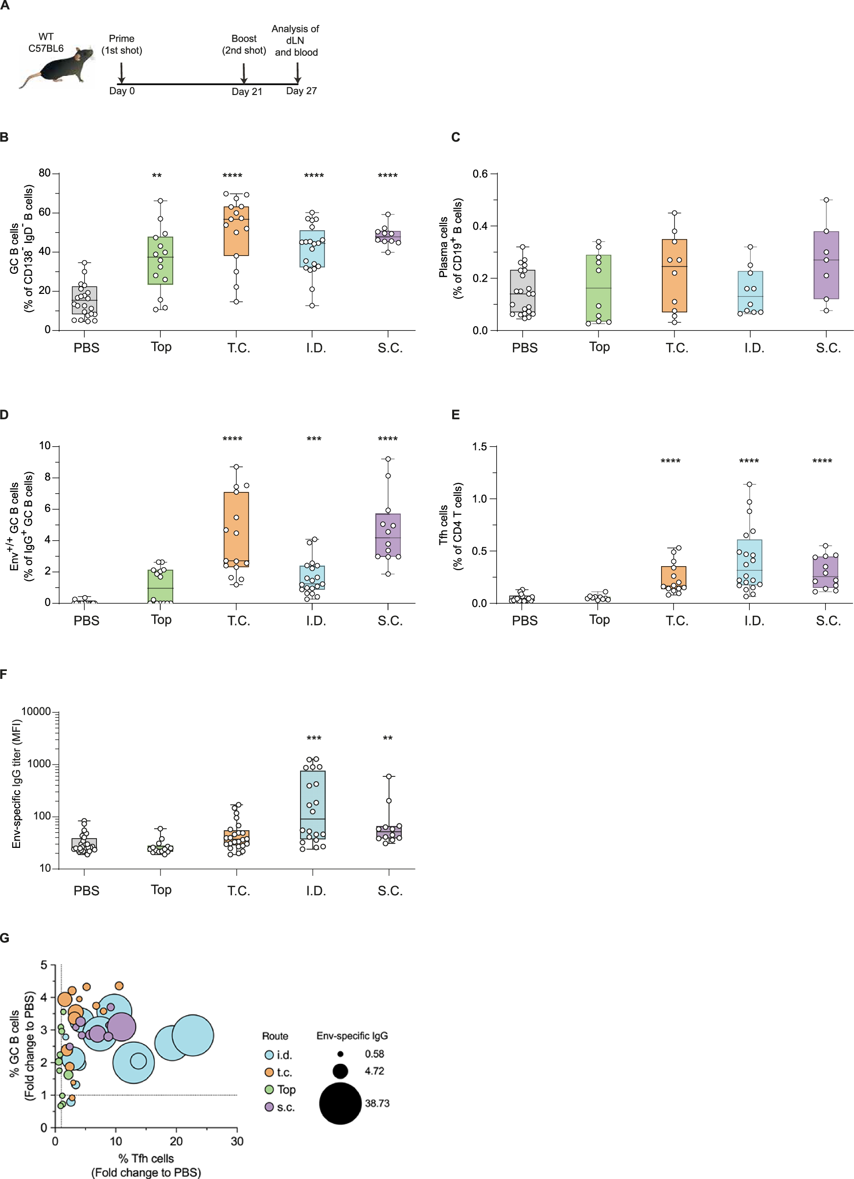
Fig. 2: αLang.Env induces cellular and humoral responses in C57BL/6 mice via different routes of skin vaccination (topical, subcutaneous, intradermal, transcutaneous).

A Prime-Boost vaccination scheme with 20 µg αLang.Env per mouse in 3 weeks interval. One week after the boost, blood and dLNs were harvested to analyze the cellular and humoral immune response. Frequencies of total GC B cells among CD138– IgD– CD19+ B cells (B), of plasma cells (C), of Env-specific GC B cells among IgG+ GC B cells (D), and of PD1highCXCR5+ Tfh cells among CD4+ T cells (E) in LNs draining each site of top (green), t.c. (orange), i.d. (cyan) and s.c. (purple) immunization. F Env-specific IgG levels in serum of mice, measured by Luminex® (reported as mean of fluorescent intensity, MFI) at D27. Non-parametric Kruskal-Wallis tests with Dunn’s multiple comparison post hoc test, *P < 0.05, **P < 0.01, ***P < 0.001, ****P < 0.0001. Non-significant responses are not indicated. Data are representative of at least two experiments. G For each immunization route, fold changes in Tfh and GC B cell responses are presented as ratios of frequencies compared to the PBS control group, while Env IgG titers are shown in comparison to the values of non-immunized mice (indicated by the size of the circles). Each circle represents an individual animal, with colors indicating the administration routes.