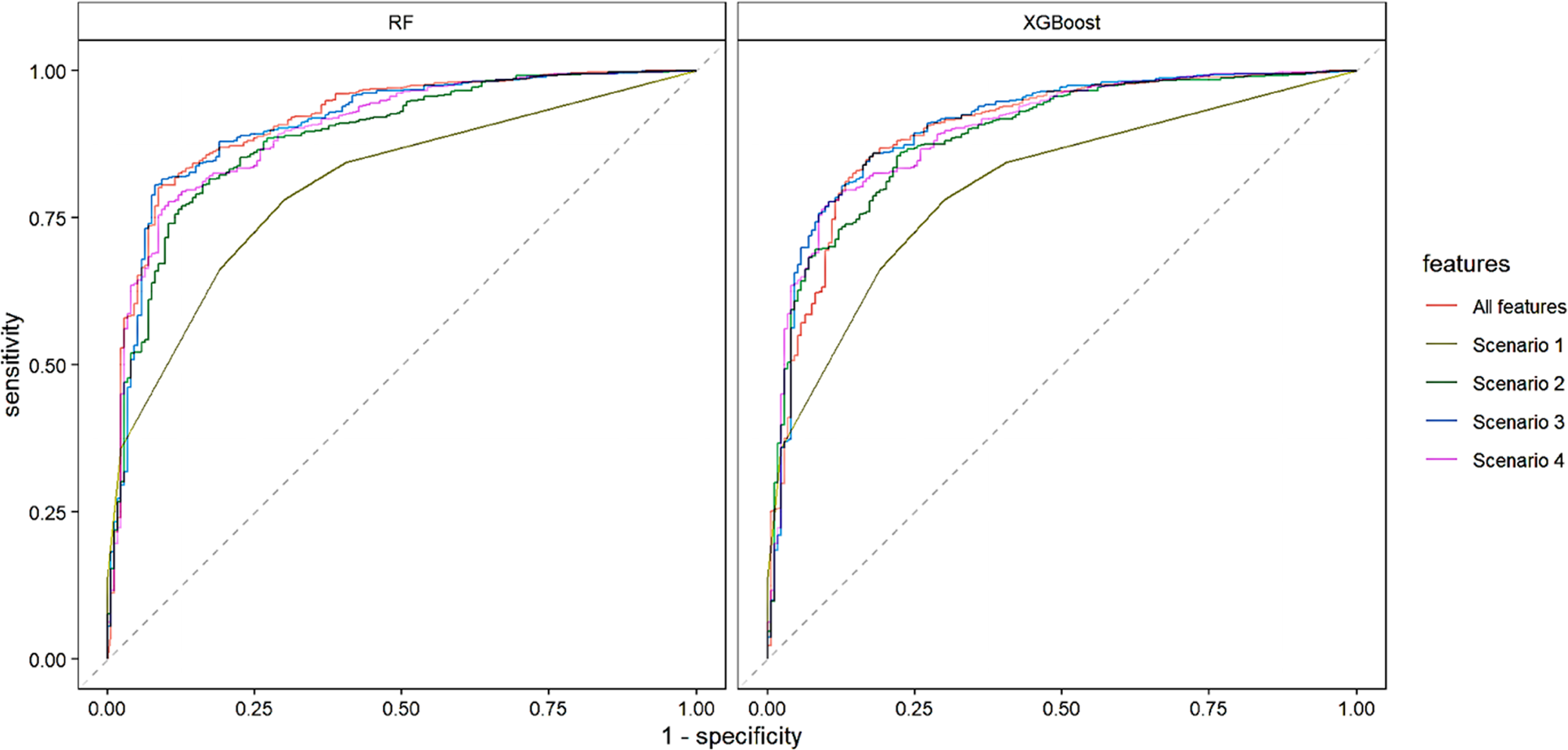
Fig. 2: ROC curves for model scenarios.

Receiver operating characteristic (ROC) curves for model scenarios using RF and XGBoost classification algorithms.

Receiver operating characteristic (ROC) curves for model scenarios using RF and XGBoost classification algorithms.