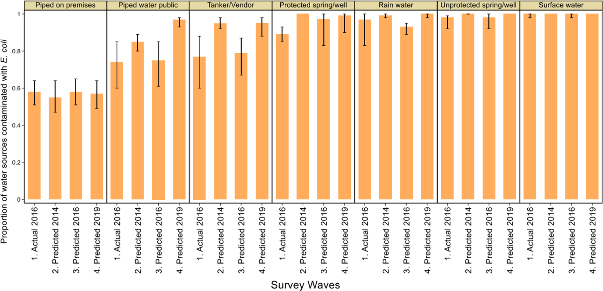
Fig. 4: Prediction results by water source type.

Prediction results of E. coli contamination of drinking water sources in three survey waves by water source type. Error bars represent 95% confidence intervals.

Prediction results of E. coli contamination of drinking water sources in three survey waves by water source type. Error bars represent 95% confidence intervals.