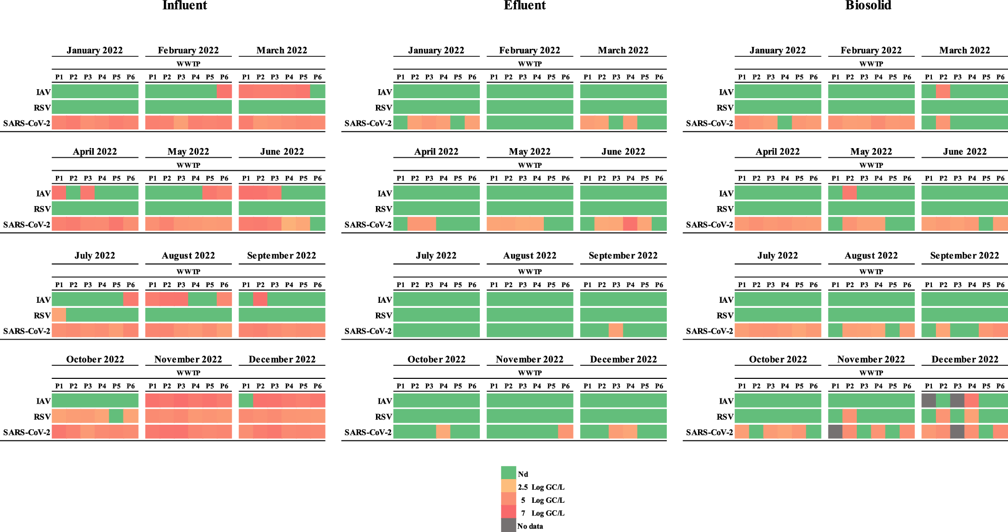
Fig. 3: Concentration (in Log GC/L) of RSV, IAV, and SARS-CoV-2 in influent, effluent, and biosolid samples collected over a one-year period in six different WWTPs (P1-P6).
From: Longitudinal study on the multifactorial public health risks associated with sewage reclamation

Nd not detected, GC genome copies, SARS-CoV-2 severe acute respiratory syndrome coronavirus 2, RSV respiratory syncytial virus, IA Influenza A virus.