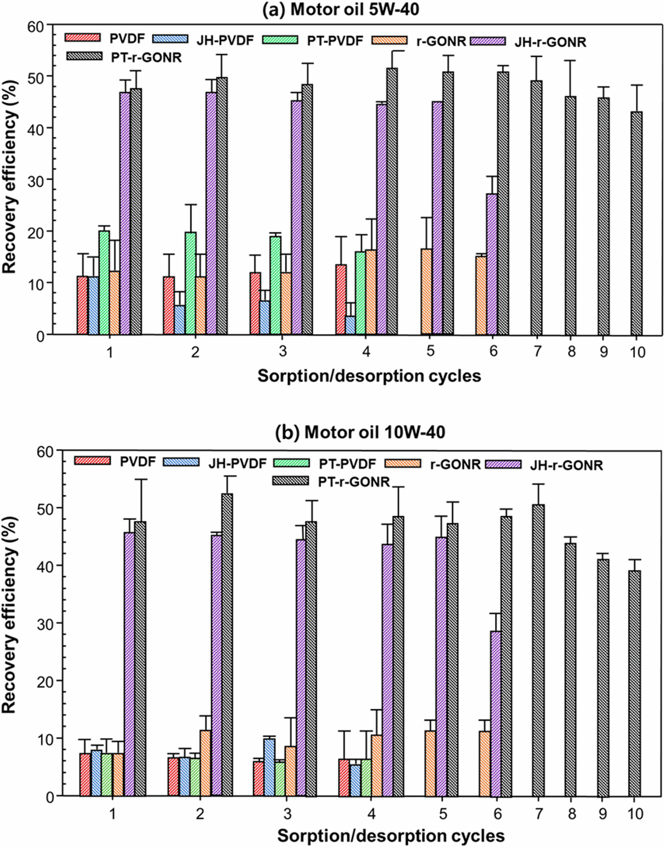
Fig. 5: Recovery efficiency with highly viscous oils including Motor oil 5W-40 and 10W-40.

Recovery efficiencies of (a) motor oil 5W-40 and (b) motor oil 10W-40 (*Each error bar is defined as the standard deviation of the mean.).

Recovery efficiencies of (a) motor oil 5W-40 and (b) motor oil 10W-40 (*Each error bar is defined as the standard deviation of the mean.).