Thank you for visiting nature.com. You are using a browser version with limited support for CSS. To obtain
the best experience, we recommend you use a more up to date browser (or turn off compatibility mode in
Internet Explorer). In the meantime, to ensure continued support, we are displaying the site without styles
and JavaScript.
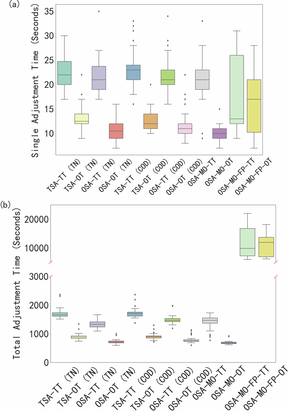
Fig. 5: The elapsed time for single time adjustment and total adjustment in the optimisations using different parameter tuning methods. | npj Clean Water
Fig. 5: The elapsed time for single time adjustment and total adjustment in the optimisations using different parameter tuning methods.