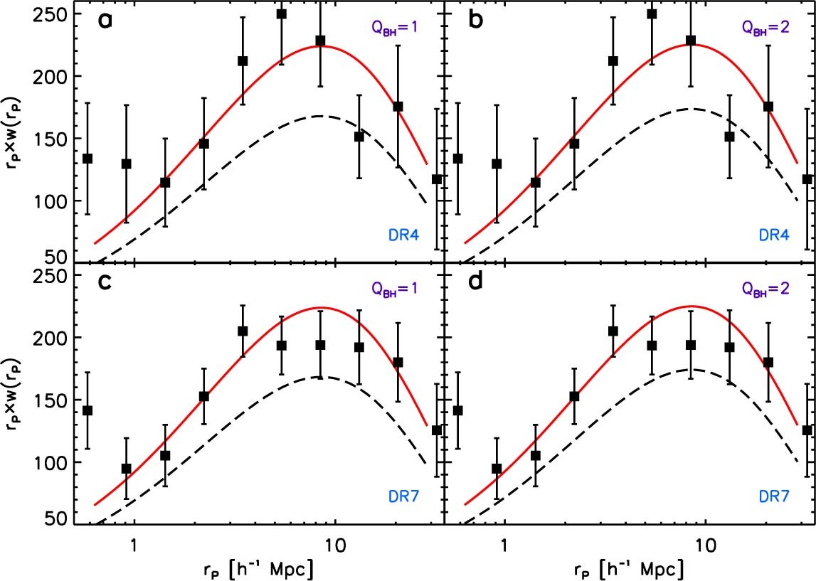
Extended Data Fig. 3: Direct comparison with the cross-correlation function of active galaxies.
From: Constraining black hole–galaxy scaling relations and radiative efficiency from galaxy clustering

Comparison between the DR4 (panels a and b) and DR7 (panels c and d) projected AGN-galaxy cross-correlation function derived by Krumpe et al. (2015, filled squares with their 1σ uncertainties), with the linear matter projected correlation function multiplied by the product of the galaxy and black hole large-scale biases with Qbh=1 (panels a and c) and Qbh=2 (panels b and d). The solid red and long-dashed black lines refer to the large-scale bias derived, respectively, from the observed and intrinsic Mbh-Mstar relations. It is clear that the models derived from the intrinsic Mbh-Mstar relation (solid red lines) provide a better match to the data (see text for details).