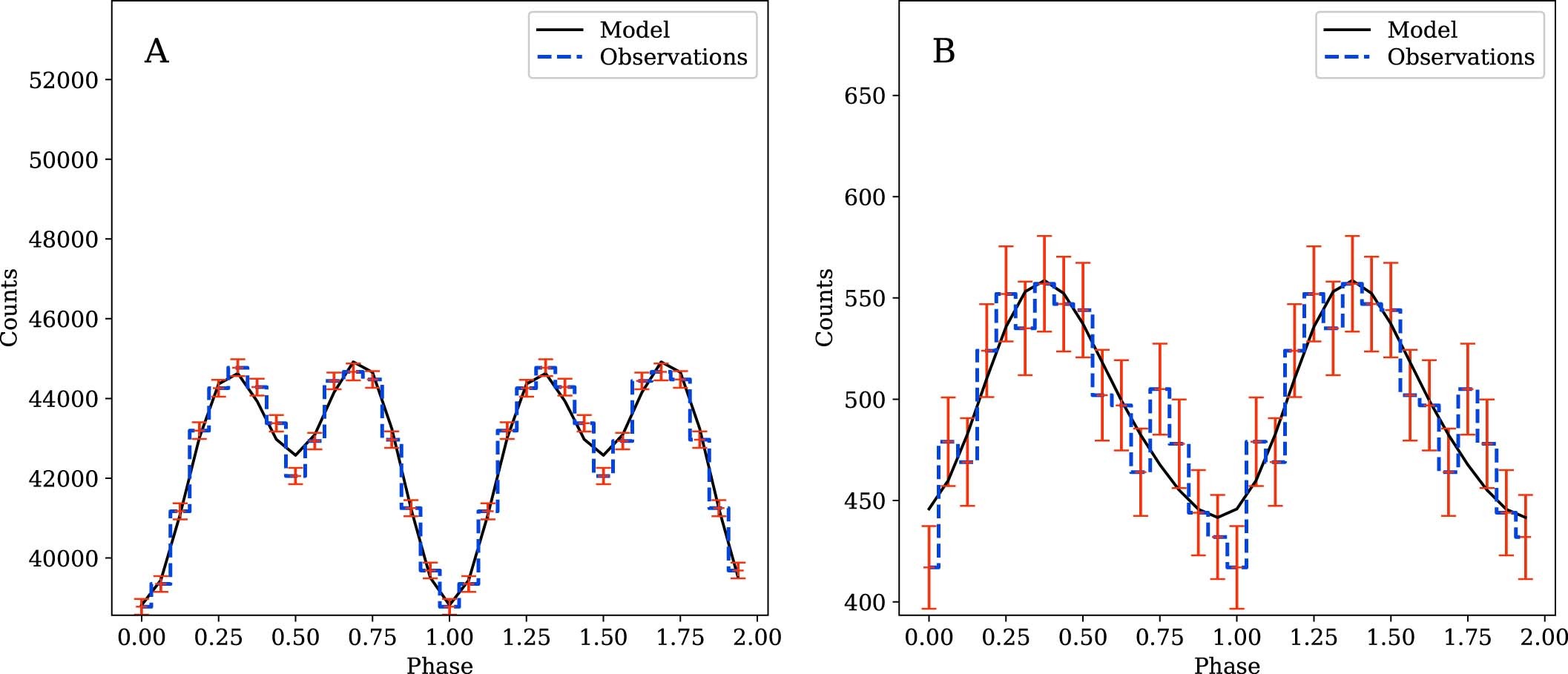
Extended Data Fig. 8: Folded soft X-ray light-curve (300-2000 eV) for magnetars.
From: Strong toroidal magnetic fields required by quiescent X-ray emission of magnetars

A panel: 4U 0142+61, B panel 1E 1841-045. Dashed blue lines show observations, and the theoretical light-curve for the most favourable orientation is shown with black solid lines. Red error bars are 1σ confidence intervals.