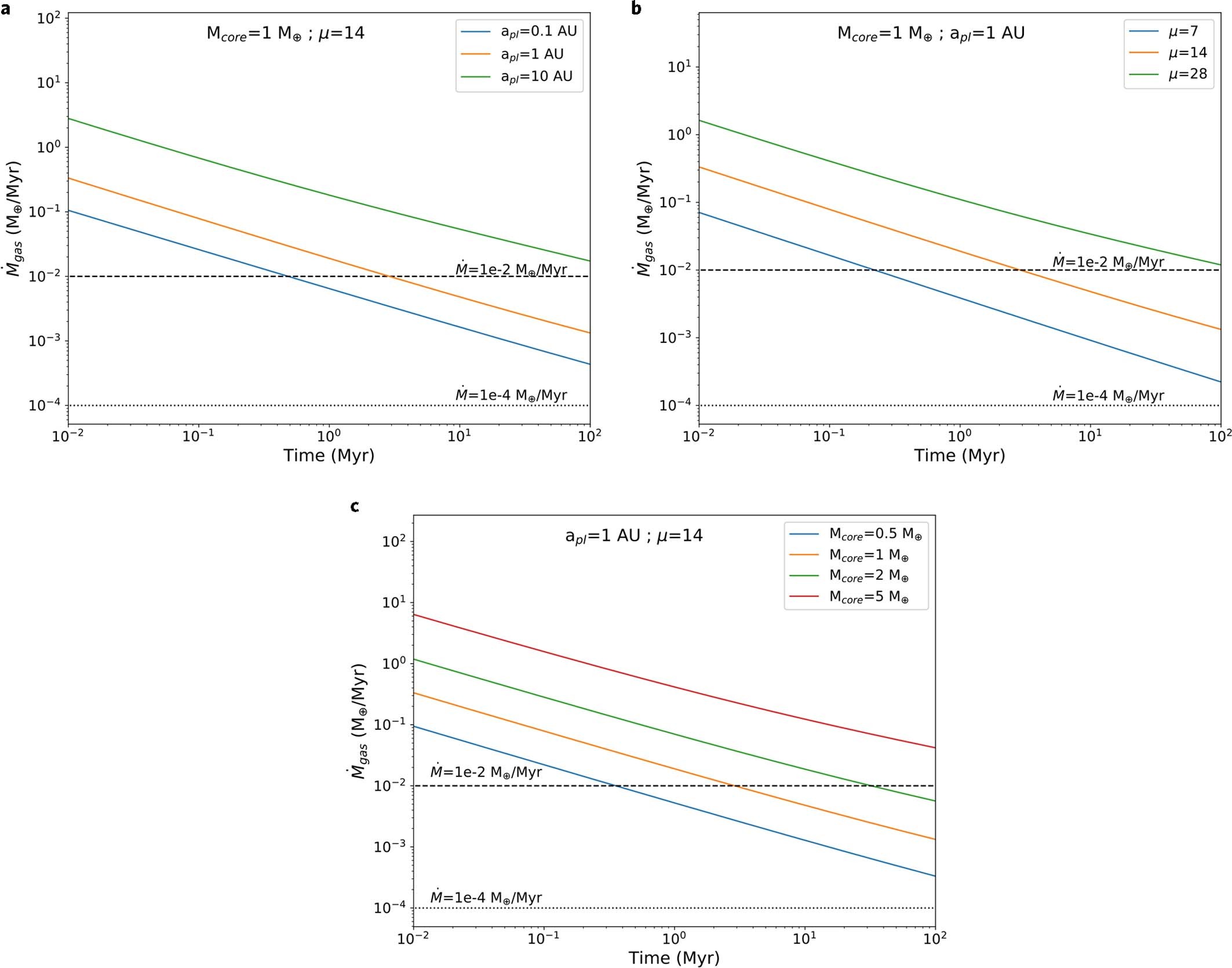
Extended Data Fig. 4: Potential accretion rate on a planet Vs. available accretion rates.
From: Formation of secondary atmospheres on terrestrial planets by late disk accretion

We plot the temporal evolution of the potential theoretical accretion rate on a planet \({\dot{M}}_{{\rm{gas}}}\) (numerical derivative with κ varying with time) for different values of planet semi-major axes apl, atmospheric mean molecular weight μ and core mass \({M}_{{\rm{core}}}\). The fiducial model is apl = 1 au, μ = 14, and \({M}_{{\rm{core}}}=1\) M⊕. We overplot horizontal lines with different input rate values of our parameter \(\dot{M}\), including the case of 10−2 M⊕/Myr over 100 Myr to verify whether in the cases studied in this paper the theoretical accretion rate is higher than our \(\dot{M}\) parameter (which is always the case for μ = 28, large \({M}_{{\rm{core}}}\) or distant planets). We note that for the μ = 28 case, the green lines become less steep at large t. This is because as t increases, one reaches the second regime for which − a∕(bt) ≪ 1, where \({\dot{M}}_{{\rm{gas}}}\) scales as t−0.4 instead of t−0.7 in the other regime (see Eqs 9 and 10). We also note that for the case at 0.1 au (for which T = 1000 K), the opacity varies more slowly with T for high enough densities and β becomes smaller10, hence leading to a higher \({\dot{M}}_{{\rm{gas}}}\).