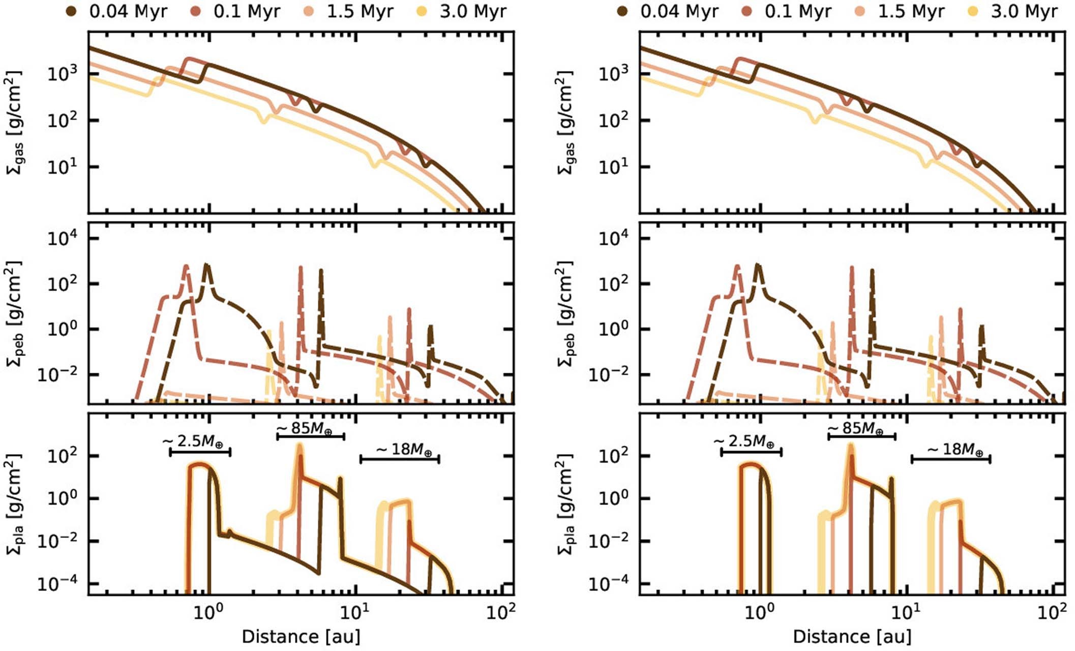
Extended Data Fig. 1: Final distribution of planetesimals in a simulation with three pressure bumps.
From: Planetesimal rings as the cause of the Solar System’s planetary architecture

a) Including the effects of planetesimal formation via zonal flows80, see Eq. (8). b) Neglecting the effects of planetesimal formation via zonal flows21,65. Final distribution of planetesimals in a simulation with three pressure bumps. Top and middle panels show the evolution of the gas and pebble surface densities, respectively. The initial dust-to-gas ratio is Z0 = 1.3%, ϵ = 1 × 10−4, αt = αν/27. The final rings contain 2.5 M⊕ (inner), 85 M⊕ (central), and 18 M⊕ (outer) in planetesimals. In both simulations rc = 25 au.