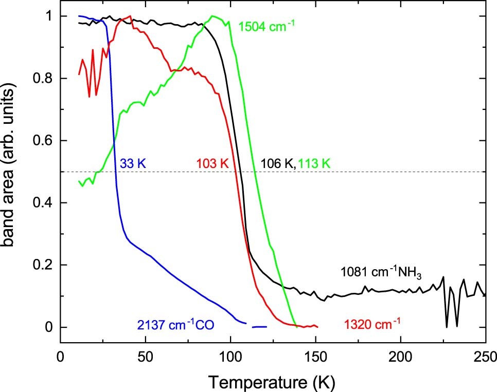
Extended Data Fig. 6: The evolution of the intensities of IR absorption bands during the temperature rise.
From: A pathway to peptides in space through the condensation of atomic carbon

The curves show the band intensities. The peak positions of the bands and the assignment (if available) are given in the figure. The horizontal dashed line shows the 50% intensity. The temperatures of its crossing with the TPD curves are given. The band at 1081 cm-1 marked as NH3 is expected to have a contribution from the solid residue at higher temperatures.