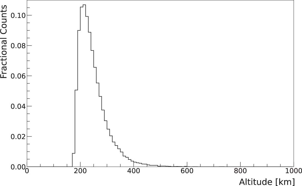
Extended Data Fig. 1: Altitude Distribution of Escaping X-Rays.
From: Observation and origin of non-thermal hard X-rays from Jupiter

Counts of escaping X-rays as a function of the altitude [km] (which is measured from 1 Rj). The counts drop sharply below h ~ 200 [km] as X-rays are heavily absorbed. The altitude range shown in the plot cover Region 1 and 2 described in the Method. Note that most of escaping X-rays are from Region 1 (h < 430 km).