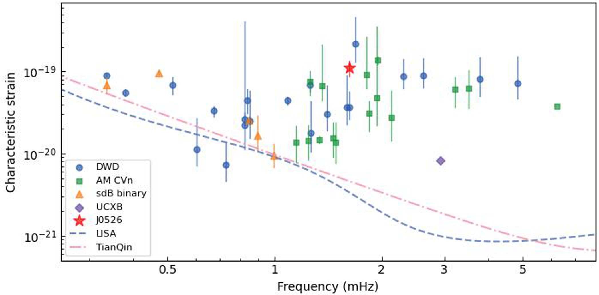
Extended Data Fig. 3: The characteristic strains of J0526 accompanied with dozens of verification/detectable binaries of GWs.
From: A seven-Earth-radius helium-burning star inside a 20.5-min detached binary

The characteristic strains were calculated from the component masses and distances provided from reference113. The blue dashed line and red dotted-dash line represent the detection sensitivity curves from LISA91 and TianQin92, respectively. The LISA sensitivity curve here includes the instrumental noise the foreground confusion noise, while the TianQin sensitivity curve includes only the instrumental noise. The error bars represent 68% credible intervals.