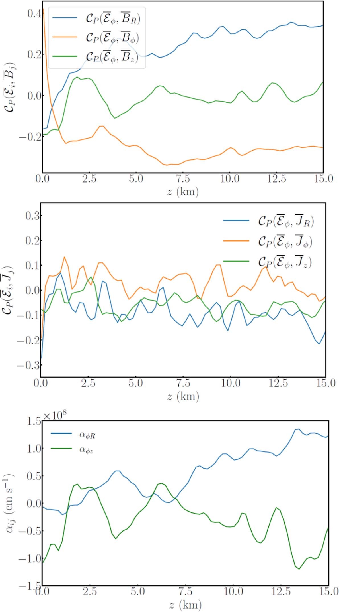
Extended Data Fig. 6: α effect vs turbulent resistivity in the αΩ dynamo.
From: A large-scale magnetic field produced by a solar-like dynamo in binary neutron star mergers

(Top) Time-averaged correlations between the toroidal electromotive force \({\bar{{{{\mathcal{E}}}}}}_{\phi }\) and the mean magnetic field components \({\bar{B}}_{j}\) for R = 30 km. (Middle) Time-averaged correlations between the toroidal electromotive force \({\bar{{{{\mathcal{E}}}}}}_{\phi }\) and the mean current \({\bar{J}}_{j}\) components for R = 30 km. (Bottom) Alpha tensor components αϕi with i ∈ [R, z] for R = 30 km.