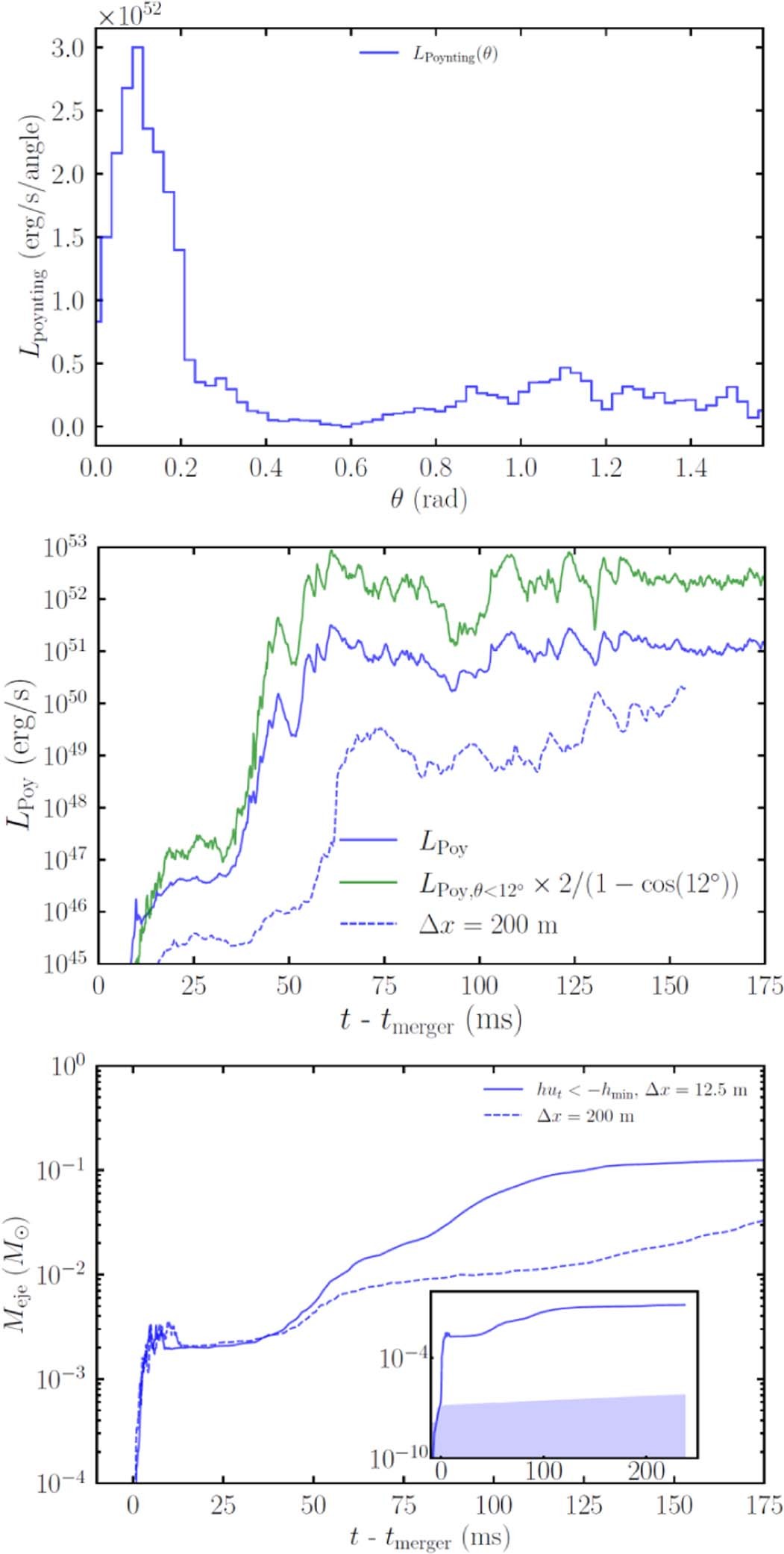
Extended Data Fig. 8: Properties of the Poynting flux-dominated outflow and post-merger ejecta.
From: A large-scale magnetic field produced by a solar-like dynamo in binary neutron star mergers

(Top) Angular distribution of the luminosity of the Poynting flux at the end of the simulation of t − tmerger ≈ 150 ms. (Middle) Luminosity for the Poynting flux as a function of the post-merger time. The green curve is the jet-opening-angle corrected luminosity. The blue-dashed curve plots the luminosity for the simulation with Δxfinest = 200 m. (Bottom) Ejecta as a function of the post-merger time. The solid curve denotes the ejecta satisfying the Bernoulli criterion. The colored region in the inset shows the violation of the baryon mass conservation. The blue-dashed curve plots the ejecta for the simulation with Δxfinest = 200 m.