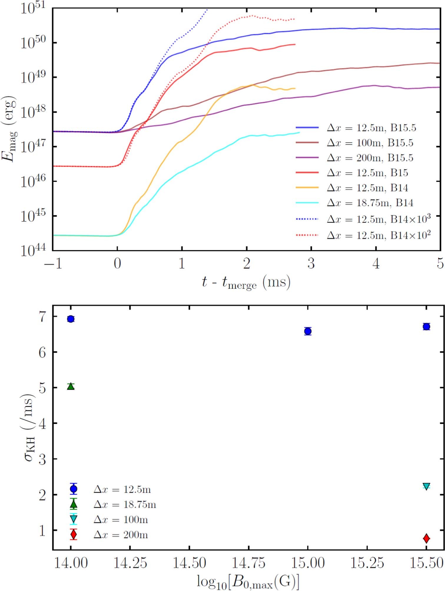
Extended Data Fig. 1: Kelvin-Helmholtz instability growth rate at the merger.
From: A large-scale magnetic field produced by a solar-like dynamo in binary neutron star mergers

(Top) Same as the inset in Fig. 1 in the main article, but with Δxfinest = 18.75 m for \({B}_{0,\max }=1{0}^{14}\) G (cyan). The blue- and red-dotted curves show the evolution for Δxfinest = 12.5 m and \({B}_{0,\max }=1{0}^{14}\) G magnified by a factor of 103 and 102, respectively. (Bottom) Dependence of the growth rate of the electromagnetic energy at the merger due to the Kelvin-Helmholtz instability on the initial magnetic field strength \({B}_{0,\max }\) and grid resolution. The error is due to the fitting. Data are presented as mean median values +/- SD.