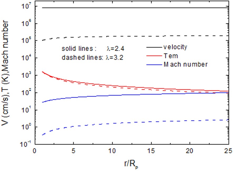
Extended Data Fig. 3: The atmospheric structures of the TE-driven escape in diatomic atmospheres.
From: Characterization of the regimes of hydrodynamic escape from low-mass exoplanets

I show two samples with different values of λ. The escapes of both the two planets are driven by their thermal energy, but one is supersonic and the other is transonic.