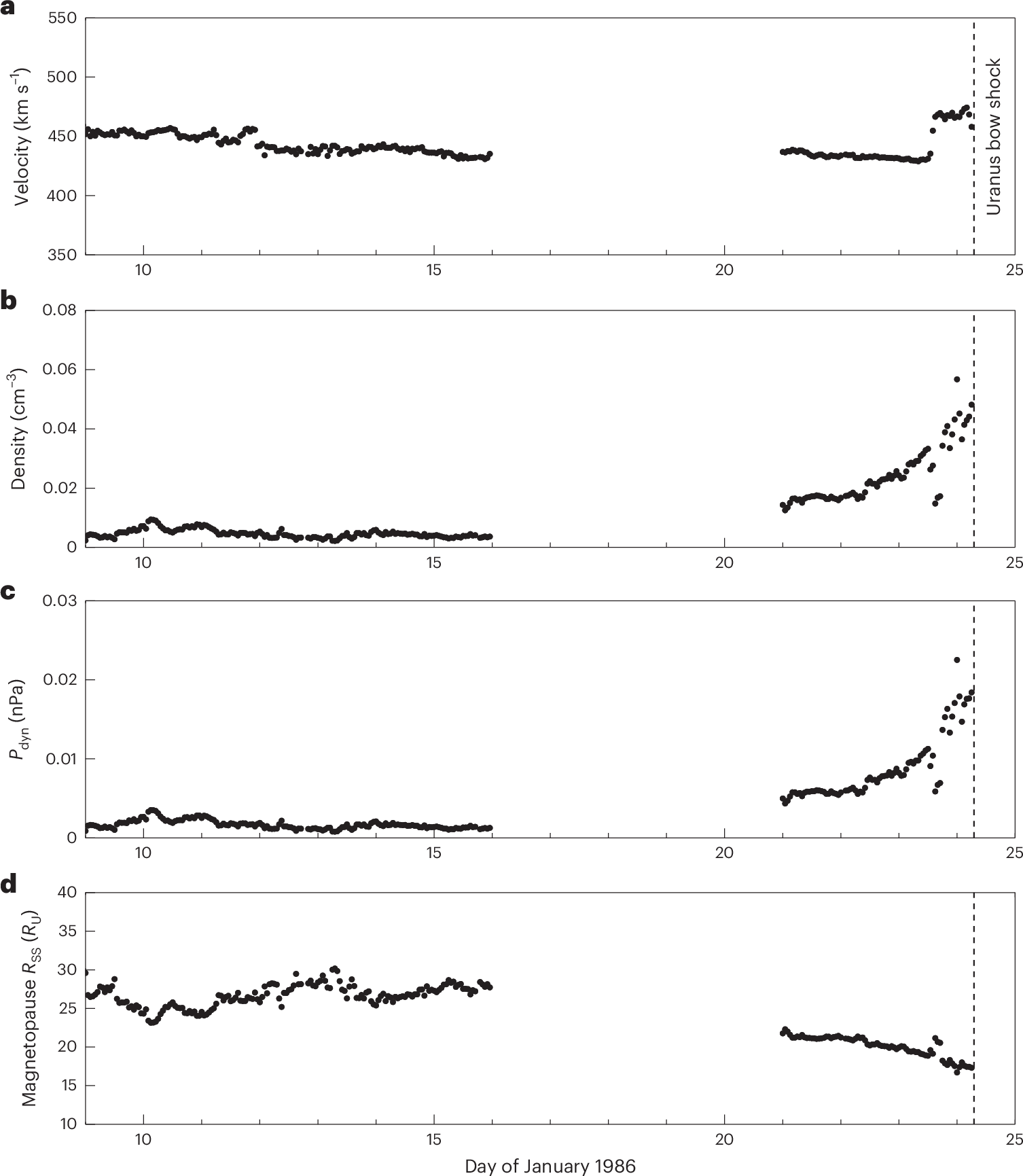
Fig. 1: Voyager 2 in situ measurements of solar wind conditions upstream of Uranus, before the flyby.
From: The anomalous state of Uranus’s magnetosphere during the Voyager 2 flyby

a–d, Measurements were made by the PLS. The dashed vertical line shows when Voyager 2 crossed Uranus’s bow show on 24 January 1986 at 07:28 ut. The solar wind velocity (a), solar wind density (b), solar wind dynamic pressure (c) and the estimated expected magnetopause subsolar standoff distance (RSS) at Uranus shown in planetary radii where RU is equal to 25,559 km (d) are shown. A data-gap is present between day 16 and 21.