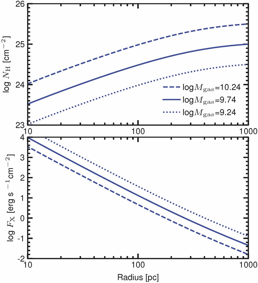
Extended Data Fig. 3: X-ray-dominated region model.
From: Warm gas in the vicinity of a supermassive black hole 13 billion years ago

A gas column density (top) and X-ray flux (bottom) at different galactocentric radii. The dotted, solid, and dashed lines show the XDR models with different gas masses.