Abstract
The chemical composition of exoplanets is thought to be influenced by the composition of the disks in which they form. JWST observations have unveiled a variety of chemical species in numerous nearby disks, which show substantial variations in the C/O abundance ratio. However, little is known about the composition and C/O ratio of disks around young stars in clusters exposed to strong ultraviolet radiation from nearby massive stars, which are representative of the environments where most planetary systems form, including ours. Here we present JWST spectroscopy of d203-504, a young 0.7 M⊙ star in the Orion nebula with a 30 au disk irradiated by nearby massive stars. These observations reveal spectroscopic signatures of CO, H2O, CH3+ and polycyclic aromatic hydrocarbons. Water and CO are detected in absorption in the inner disk (r ≲ 1 au), where the estimated gas-phase C/O ratio is 0.48, consistent with the solar value and that of the Orion nebula. By contrast, CH3+ and polycyclic aromatic hydrocarbons are found in the extended surface layers of the disk. These results suggest that gas in the inner disk is chemically shielded from ultraviolet radiation, whereas the surface layers of the disk experience ultraviolet-induced chemistry, potentially depleting their carbon content.
This is a preview of subscription content, access via your institution
Access options
Access Nature and 54 other Nature Portfolio journals
Get Nature+, our best-value online-access subscription
$32.99 / 30 days
cancel any time
Subscribe to this journal
Receive 12 digital issues and online access to articles
$119.00 per year
only $9.92 per issue
Buy this article
- Purchase on SpringerLink
- Instant access to the full article PDF.
USD 39.95
Prices may be subject to local taxes which are calculated during checkout





Similar content being viewed by others
Data availability
The JWST data presented in this paper are publicly available via the MAST online archive (http://mast.stsci.edu) using the programme ID 1288.
Code availability
The JWST pipeline used to produce the final data products presented in this article is available at https://github.com/spacetelescope/jwst. The code used in this study is available from the corresponding author on reasonable request.
References
Gardner, J. P. et al. The James Webb Space Telescope mission. Publ. Astron. Soc. Pac. 135, 068001 (2023).
Kamp, I. et al. The chemical inventory of the inner regions of planet-forming disks–the JWST/MINDS program. Faraday Discuss. 245, 112–137 (2023).
van Dishoeck, E. F. et al. The diverse chemistry of protoplanetary disks as revealed by JWST. Faraday Discuss. 245, 52–79 (2023).
Henning, T. et al. MINDS: the JWST MIRI mid-infrared disk survey. Publ. Astron. Soc. Pac. 136, 054302 (2024).
Grant, S. L. et al. MINDS. the detection of 13CO2 with JWST-MIRI indicates abundant CO2 in a protoplanetary disk. Astrophys. J. Lett. 947, L6 (2023).
Tabone, B. et al. A rich hydrocarbon chemistry and high C to O ratio in the inner disk around a very low-mass star. Nat. Astron. 7, 805–814 (2023).
Kóspál, Á. et al. JWST/MIRI spectroscopy of the disk of the young eruptive star EX Lup in quiescence. Astrophys. J. Lett. 945, L7 (2023).
Perotti, G. et al. Water in the terrestrial planet-forming zone of the PDS 70 disk. Nature 620, 516–520 (2023).
Pontoppidan, K. M. et al. High-contrast JWST-MIRI spectroscopy of planet-forming disks for the JDISC survey. Astrophys. J. 963, 158 (2024).
Colmenares, M. J. et al. JWST/MIRI detection of a carbon-rich chemistry in a solar nebula analog. Astrophys. J. 977, 173 (2024).
Madhusudhan, N. C/O ratio as a dimension for characterizing exoplanetary atmospheres. Astrophys. J. 758, 36 (2012).
Mah, J., Bitsch, B., Pascucci, I. & Henning, T. Close-in ice lines and the super-stellar C/O ratio in discs around very low-mass stars. Astron. Astrophys. 677, L7 (2023).
Lada, C. J. & Lada, E. A. Embedded clusters in molecular clouds. Annu. Rev. Astron. Astrophys. 41, 57–115 (2003).
Winter, A. J. & Haworth, T. J. The external photoevaporation of planet-forming discs. Eur. Phys. J. Plus 137, 1132 (2022).
Adams, F. C. The birth environment of the Solar System. Annu. Rev. Astron. Astrophys. 48, 47–85 (2010).
Bergin, E. A., Alexander, C., Drozdovskaya, M., Gounelle, M. & Pfalzner, S. in Comets III (eds. Meech, K. J. et al.) 3–32 (Univ. Arizona Press, 2024).
Desch, S. & Miret-Roig, N. The Sun’s birth environment: context for meteoritics. Space Sci. Rev. 220, 76 (2024).
Terada, H. et al. Adaptive optics observations of 3 μm water ice in silhouette disks in the Orion nebula cluster and M43. Astron. J. 144, 175 (2012).
Boyden, R. D. & Eisner, J. A. Chemical modeling of Orion nebula cluster disks: evidence for massive, compact gas disks with interstellar gas-to-dust ratios. Astrophys. J. 947, 7 (2023).
Díaz-Berríos, J. K. et al. Chemistry in externally FUV-irradiated disks in the outskirts of the Orion nebula cluster. Astrophys. J. 969, 165 (2024).
Ballering, N. P. et al. Water ice in the edge-on Orion silhouette disk 114–426 from JWST NIRCam images. Astrophys. J. 979, 110 (2025).
Walsh, C., Millar, T. & Nomura, H. Molecular line emission from a protoplanetary disk irradiated externally by a nearby massive star. Astrophys. J. Lett. 766, L23 (2013).
Champion, J. et al. Herschel survey and modelling of externally-illuminated photoevaporating protoplanetary disks. Astron. Astrophys. 604, A69 (2017).
Gross, R. E. & Cleeves, L. I. Modeling the impact of moderate external UV irradiation on disk chemistry. Astrophys. J. 980, 189 (2025).
Keyte, L. & Haworth, T. J. Impact of photoevaporative winds in chemical models of externally irradiated protoplanetary discs. Mon. Not. R. Astron. Soc. 537, 598–616 (2025).
Habart, E. et al. PDRs4All. II. JWST’S NIR and MIR imaging view of the Orion nebula. Astron. Astrophys. 685, A73 (2024).
Habing, H. J. The interstellar radiation density between 912 Å and 2400 Å. Bull. Astron. Inst. Neth. 19, 421 (1968).
Berné, O. et al. A far-ultraviolet–driven photoevaporation flow observed in a protoplanetary disk. Science 383, 988–992 (2024).
Peeters, E. et al. PDRs4All. III. JWST’s NIR spectroscopic view of the Orion bar. Astron. Astrophys. 685, A74 (2024).
Berné, O. et al. Formation of the methyl cation by photochemistry in a protoplanetary disk. Nature 621, 56–59 (2023).
Zannese, M. et al. OH as a probe of the warm-water cycle in planet-forming disks. Nat. Astron. 8, 577–586 (2024).
Geers, V. C. et al. Spatially extended polycyclic aromatic hydrocarbons in circumstellar disks around T Tauri and Herbig Ae stars. Astron. Astrophys. 476, 279–289 (2007).
Ramírez-Tannus, M. C. et al. XUE: molecular inventory in the inner region of an extremely irradiated protoplanetary disk. Astrophys. J. Lett. 958, L30 (2023).
Ndugu, N., Bitsch, B. & Lena, L. J. How external photoevaporation changes the inner disc’s chemical composition. Astron. Astrophys. 691, A32 (2024).
O’Dell, C. R. & Wen, Z. Postrefurbishment mission Hubble Space Telescope images of the core of the Orion nebula: proplyds, Herbig-Haro objects, and measurements of a circumstellar disk. Astrophys. J. 436, 194 (1994).
Bally, J., O’Dell, C. & McCaughrean, M. J. Disks, microjets, windblown bubbles, and outflows in the Orion nebula. Astron. J. 119, 2919 (2000).
O’Dell, C. R., Kollatschny, W. & Ferland, G. J. Which stars are ionizing the Orion nebula? Astrophys. J. 837, 151 (2017).
Haworth, T. J. et al. The VLT MUSE NFM view of outflows and externally photoevaporating discs near the Orion bar. Mon. Not. R. Astron. Soc. 525, 4129–4142 (2023).
Fang, M., Kim, J. S., Pascucci, I. & Apai, D. An improved Hertzsprung-Russell diagram for the Orion Trapezium cluster. Astrophys. J. 908, 49 (2021).
Aru, M.-L. et al. Kaleidoscope of irradiated disks: MUSE observations of proplyds in the Orion nebula cluster. I. Sample presentation and ionization front sizes. Astron. Astrophys. 687, A93 (2024).
Berné, O. et al. PDRs4All: A JWST early release science program on radiative feedback from massive stars. Publ. Astron. Soc. Pac. 134, 054301 (2022).
Rieke, M. J. et al. Performance of NIRCam on JWST in flight. Publ. Astron. Soc. Pac. 135, 028001 (2023).
Wells, M. et al. The mid-infrared instrument for the James Webb Space Telescope. VI. The medium resolution spectrometer. Publ. Astron. Soc. Pac. 127, 646 (2015).
Böker, T. et al. The near-infrared spectrograph (NIRSpec) on the James Webb Space Telescope. III. Integral-field spectroscopy. Astron. Astrophys. 661, A82 (2022).
Van De Putte, D. et al. PDRs4All. VIII. Mid-IR emission line inventory of the Orion bar. Astron. Astrophys. 687, A86 (2024).
Chown, R. et al. PDRs4All. IV. An embarrassment of riches: aromatic infrared bands in the Orion bar. Astron. Astrophys. 685, A75 (2024).
Rigliaco, E., Pascucci, I., Gorti, U., Edwards, S. & Hollenbach, D. Understanding the origin of the [O i] low-velocity component from T Tauri stars. Astrophys. J. 772, 60 (2013).
Changala, P. B. et al. Astronomical CH3+ rovibrational assignments—a combined theoretical and experimental study validating observational findings in the d203-506 UV-irradiated protoplanetary disk. Astron. Astrophys. 680, A19 (2023).
Zannese, M. et al. PDRs4All. XI. Detection of infrared CH+ and CH3+ rovibrational emission in the Orion bar and disk d203-506: evidence of chemical pumping. Astron. Astrophys. 696, A99 (2025).
Le Petit, F., Nehmé, C., Le Bourlot, J. & Roueff, E. A model for atomic and molecular interstellar gas: the Meudon PDR code. Astrophys. J. Suppl. Ser. 164, 506–529 (2006).
Salyk, C. et al. H2O and OH gas in the terrestrial planet-forming zones of protoplanetary disks. Astrophys. J. Lett. 676, L49 (2008).
Banzatti, A. et al. Scanning disk rings and winds in CO at 0.01–10 au: a high-resolution M-band spectroscopy survey with IRTF-iSHELL. Astron. J. 163, 174 (2022).
Facchini, S., Birnstiel, T., Bruderer, S. & van Dishoeck, E. F. Different dust and gas radial extents in protoplanetary disks: consistent models of grain growth and CO emission. Astron. Astrophys. 605, A16 (2017).
Bergemann, M. et al. Solar oxygen abundance. Mon. Not. R. Astron. Soc. 508, 2236–2253 (2021).
Cartledge, S. I., Meyer, D. M., Lauroesch, J. & Sofia, U. Space telescope imaging spectrograph observations of interstellar oxygen and krypton in translucent clouds. Astrophys. J. 562, 394 (2001).
Bethell, T. & Bergin, E. Formation and survival of water vapor in the terrestrial planet–forming region. Science 326, 1675–1677 (2009).
Duval, S. E., Bosman, A. D. & Bergin, E. A. Water shielding in the terrestrial planet-forming zone: implication for inner disk organics. Astrophys. J. Lett. 934, L25 (2022).
Banzatti, A. et al. The kinematics and excitation of infrared water vapor emission from planet-forming disks: results from spectrally resolved surveys and guidelines for JWST spectra. Astron. J. 165, 72 (2023).
Hillenbrand, L. A. On the stellar population and star-forming history of the Orion nebula cluster. Astron. J. 113, 1733–1768 (1997).
Fajrin, M., Armstrong, J. J., Tan, J. C., Farias, J. P. & Eyer, L. Low-mass runaways from the Orion nebula cluster–kinematic age constraints on star cluster formation. Mon. Not. R. Astron. Soc. 537, 1320–1333 (2025).
Goicoechea, J. R. et al. PDRs4All. X. ALMA and JWST detection of neutral carbon in the externally irradiated disk d203-506: undepleted gas-phase carbon. Astron. Astrophys. 689, L4 (2024).
Berné, O. et al. Analysis of the emission of very small dust particles from Spitzer spectro-imagery data using blind signal separation methods. Astron. Astrophys. 469, 575–586 (2007).
Bouwman, J., Mattioda, A., Linnartz, H. & Allamandola, L. Photochemistry of polycyclic aromatic hydrocarbons in cosmic water ice. I. Mid-IR spectroscopy and photoproducts. Astron. Astrophys. 525, A93 (2011).
Cox, N. L. J., Pilleri, P., Berné, O., Cernicharo, J. & Joblin, C. Polycyclic aromatic hydrocarbons and molecular hydrogen in oxygen-rich planetary nebulae: the case of NGC 6720. Mon. Not. R. Astron. Soc. 456, L89–L93 (2016).
Marciniak, A., Joblin, C., Mulas, G., Mundlapati, V. R. & Bonnamy, A. Photodissociation of aliphatic PAH derivatives under relevant astrophysical conditions. Astron. Astrophys. 652, A42 (2021).
Montillaud, J., Joblin, C. & Toublanc, D. Evolution of polycyclic aromatic hydrocarbons in photodissociation regions: hydrogenation and charge states. Astron. Astrophys. 552, A15 (2013).
Andrews, H., Candian, A. & Tielens, A. G. G. M. Hydrogenation and dehydrogenation of interstellar PAHs: spectral characteristics and H2 formation. Astron. Astrophys. 595, A23 (2016).
Lee, J.-E., Bergin, E. A. & Nomura, H. The solar nebula on fire: a solution to the carbon deficit in the inner Solar System. Astrophys. J. Lett. 710, L21 (2010).
Semenov, D. et al. Chemistry in disks. IV. Benchmarking gas-grain chemical models with surface reactions. Astron. Astrophys. 522, A42 (2010).
Lange, K., Dominik, C. & Tielens, A. G. G. M. Turbulent processing of PAHs in protoplanetary discs. Coagulation and freeze-out leading to depletion of gas-phase PAHs. Astron. Astrophys. 674, A200 (2023).
Kress, M. E., Tielens, A. G. & Frenklach, M. The ‘soot line’: destruction of presolar polycyclic aromatic hydrocarbons in the terrestrial planet-forming region of disks. Adv. Space Res. 46, 44–49 (2010).
Li, J., Bergin, E. A., Blake, G. A., Ciesla, F. J. & Hirschmann, M. M. Earth’s carbon deficit caused by early loss through irreversible sublimation. Sci. Adv. 7, eabd3632 (2021).
Facchini, S., Clarke, C. J. & Bisbas, T. G. External photoevaporation of protoplanetary discs in sparse stellar groups: the impact of dust growth. Mon. Not. R. Astron. Soc. 457, 3593–3610 (2016).
Aru, M.-L. et al. A tell-tale tracer for externally irradiated protoplanetary disks: comparing the [C i] 8727 Å line and ALMA observations in proplyds. Astron. Astrophys. 692, A137 (2024).
Mann, R. K. et al. ALMA observations of the Orion proplyds. Astrophys. J. 784, 82 (2014).
Forbrich, J. et al. The population of compact radio sources in the Orion nebula cluster. Astrophys. J. 822, 93 (2016).
Foschino, S., Berné, O. & Joblin, C. Learning mid-IR emission spectra of polycyclic aromatic hydrocarbon populations from observations. Astron. Astrophys. 632, A84 (2019).
Draine, B. T. Physics of the Interstellar and Intergalactic Medium (Princeton Univ. Press, 2011).
Vicente, S. et al. Polycyclic aromatic hydrocarbon emission in the proplyd HST10: what is the mechanism behind photoevaporation? Astrophys. J. Lett. 765, L38 (2013).
Tielens, A. G. G. M. The Physics and Chemistry of the Interstellar Medium (Cambridge Univ. Press, 2005).
Berné, O. & Tielens, A. G. G. M. Formation of buckminsterfullerene (C60) in interstellar space. Proc. Natl Acad. Sci. USA 109, 401–406 (2012).
Aponte, J. C. et al. PAHs, hydrocarbons, and dimethylsulfides in asteroid Ryugu samples A0106 and C0107 and the Orgueil (CI1) meteorite. Earth Planets Space 75, 28 (2023).
Sabbah, H., Quitté, G., Demyk, K. & Joblin, C. First direct detection of large polycyclic aromatic hydrocarbons on asteroid (162173) Ryugu samples: an interstellar heritage. Nat. Sci. 4, e20240010 (2024).
Yokoyama, T. et al. Samples returned from the asteroid Ryugu are similar to Ivuna-type carbonaceous meteorites. Science 379, eabn7850 (2022).
Le Petit, F., Nehme, C., Le Bourlot, J. & Roueff, E. A model for atomic and molecular interstellar gas: the Meudon PDR code. Astrophys. J. Suppl. Ser. 164, 506–529 (2006).
Joblin, C. et al. Structure of photodissociation fronts in star-forming regions revealed by Herschel observations of high-J CO emission lines. Astron. Astrophys. 615, A129 (2018).
Fitzpatrick, E. L. & Massa, D. An analysis of the shapes of ultraviolet extinction curves. I. The 2175 angstrom bump. Astrophys. J. 307, 286 (1986).
Tennyson, J. et al. The ExoMol database: molecular line lists for exoplanet and other hot atmospheres. J. Mol. Spectrosc. 327, 73–94 (2016).
Western, C. M. PGOPHER: a program for simulating rotational, vibrational and electronic spectra. J. Quant. Spectrosc. Radiat. Transf. 186, 221–242 (2017).
Apellániz, J. M. et al. The Villafranca catalog of Galactic OB groups. II. from Gaia DR2 to EDR3 and ten new systems with O stars. Astron. Astrophys. 657, A131 (2022).
Roueff, E. et al. The full infrared spectrum of molecular hydrogen. Astron. Astrophys. 630, A58 (2019).
Acknowledgements
This work is based in part on observations made with the NASA/ESA/CSA JWST. The data were obtained from the Mikulski Archive for Space Telescopes at the Space Telescope Science Institute, which is operated by the Association of Universities for Research in Astronomy, Inc., under NASA contract NAS 5-03127 for JWST. These observations are associated with programme 1288. I.S. and O.B. are funded by the Centre National d’Etudes Spatiales through the APR programme. This research received funding from the programme ANR-22-EXOR-0001 Origins of the Institut National des Sciences de l’Univers, CNRS. We thank R. Le Gal for her comments on the paper. T.J.H. acknowledges funding from a Royal Society Dorothy Hodgkin Fellowship and UKRI guaranteed funding for a Horizon Europe ERC consolidator grant (EP/Y024710/1). J.R.G. thanks the Spanish MCINN for funding support (grant no. PID2023-146667NB-I00). This project is co-funded by the European Union (ERC, SUL4LIFE, grant agreement no. 101096293). A.F. thanks project PID2022-137980NB-I00 funded by the Spanish Ministry of Science and Innovation/State Agency of Research MCIN/AEI/10.13039/501100011033 and by ‘ERDF A way of making Europe’. T.O. acknowledges the support of the Japan Society for the Promotion of Science (KAKENHI grant no. JP24K07087). C.B. is grateful for an appointment at NASA Ames Research Center through the San José State University Research Foundation (grant no. 80NSSC22M0107).
Author information
Authors and Affiliations
Contributions
I.S. and O.B. wrote the paper with important input from E.B. I.S. did the line analysis with support from O.B. I.S., F.A. and the PDRs4All data reduction team reduced the data. E.H., E.P. and O.B. planned and co-led the PDRs4All early release science programme. O.B., E.B, F.A., P.A., E.A.B., C.B., J.C., G.A.L.C., E.D., A.F., J.R.G., E.H., T.J.H., C.J., L.P.F., T.O., E.P., M.R., A.G.G.M.T. and M.Z. contributed to the observing programme with JWST. All authors participated in the development and testing of the MIRI/MRS or NIRSpec instruments and their data reduction or in the discussion of the results or commented on the paper.
Corresponding author
Ethics declarations
Competing interests
The authors declare no competing interests.
Peer review
Peer review information
Nature Astronomy thanks Ryan Boyden, Peter Zeidler and the other, anonymous, reviewer(s) for their contribution to the peer review of this work.
Additional information
Publisher’s note Springer Nature remains neutral with regard to jurisdictional claims in published maps and institutional affiliations.
Extended data
Extended Data Fig. 1 MUSE and NIRCam images of d203-504 environment.
Left: MUSE NFM composite image of both d203-506 (bottom left) and d203-504 (top). Red: the [C i](λ8727∘A) map showing disk contributions from both d203-506 and d203-504 objects. Green: the [Fe ii] (λ8617∘A) map corresponding to jets from both objects. Blue: the Hα emission map showing the ionization fronts (only d203-504 appears to have one). The glow on the top right corresponds to the Orion Bar ionization front. Right: JWST NIRCam image of the same system from the F210M filter.
Extended Data Fig. 2 ALMA 344 GHz emission map of d203-506 and d203-504.
Values are given in Jy/beam and the coordinates are givens as offsets in arcseconds with respect to the position of d203-504 (RA=5:35:20.268; DEC=-05:25:03.992).
Extended Data Fig. 3 Extended Data 3 ON and OFF extracted spectra and PAH emission.
Top panel: Observed spectrum of d203-504 (the ‘ON’ position) in black and the ‘OFF’ position in blue. Fitted continuums are shown in dotted black lines. Bottom panel: continuum subtracted spectrum of d203-504, ‘ON’ and ‘OFF’ positions in black and blue, respectively, and the disk PAH emission in green.
Extended Data Fig. 4 JWST NIRSpec/IFU and MIRI/MRS combined spectrum of the d203-504 proplyd.
The vertical lines indicate the position of HI (dashed), He I (dotted) and H2 (continuous) emission lines. Fine structure lines of atoms are labeled directly on the figure. This spectrum is in units of MJy/sr to emphasize the silicate emissions highlighted in green.
Extended Data Fig. 5 OH and CH+ emission.
Zooms on d203-504 NIRSpec spectrum, represented in black on both panels. On the upper panels, positions of OH emission lines are shown in blue and on the lower panels, positions of CH+ emission lines are shown in red.
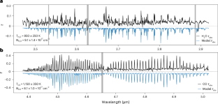
Extended Data Fig. 6 MIRI water absorption models.
Spectroscopic models (Fmod(λ)) of d203-504 using Eq. 8 (blue) and Eq. 9 (red). Observed spectrum (Fobs(λ)) is in black.
Supplementary information
Supplementary Information (download PDF )
Supplementary Figs. 1–3.
Rights and permissions
Springer Nature or its licensor (e.g. a society or other partner) holds exclusive rights to this article under a publishing agreement with the author(s) or other rightsholder(s); author self-archiving of the accepted manuscript version of this article is solely governed by the terms of such publishing agreement and applicable law.
About this article
Cite this article
Schroetter, I., Berné, O., Bron, E. et al. A solar C/O ratio in planet-forming gas at 1 au in a highly irradiated disk. Nat Astron 9, 1326–1336 (2025). https://doi.org/10.1038/s41550-025-02596-6
Received:
Accepted:
Published:
Version of record:
Issue date:
DOI: https://doi.org/10.1038/s41550-025-02596-6


