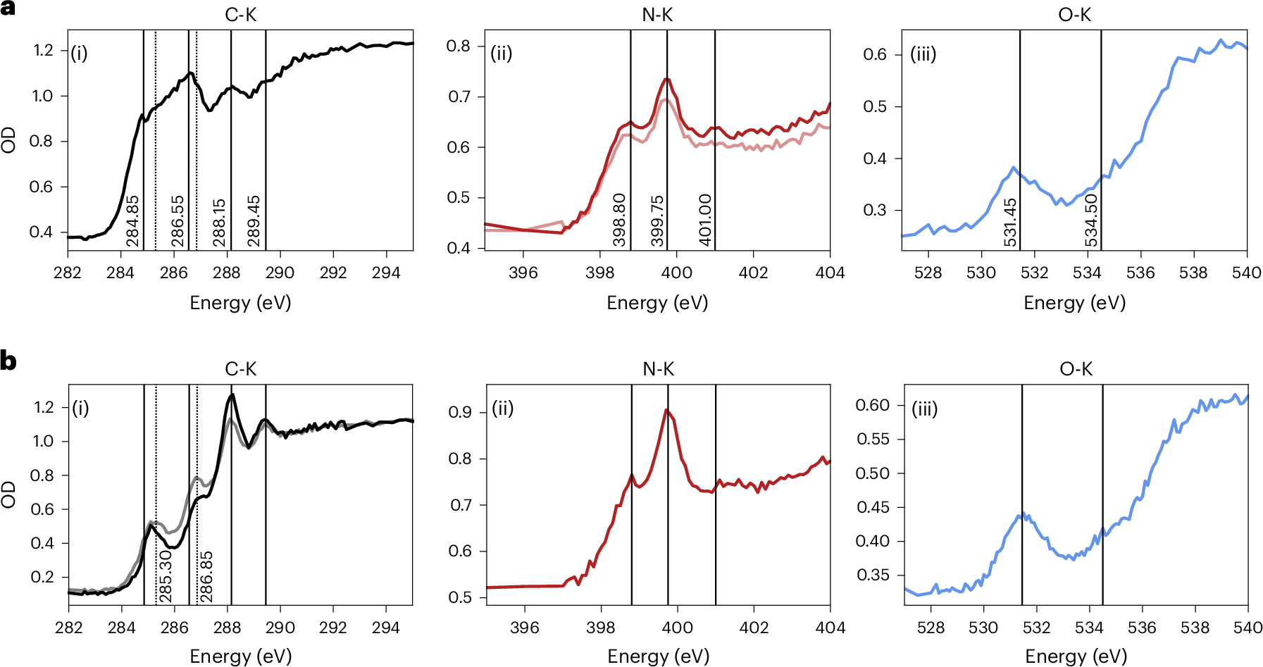
Fig. 4: X-ray spectroscopy of the carbon, nitrogen and oxygen K edges of Particles 2 and 33.

a(i), C-K STXM spectrum of the Particle 2 FIB section showing features at 284.85 eV, 286.55 eV, 288.15 eV and 289.45 eV acquired from a line scan. a(ii), N-K STXM spectra of Particle 2 showing peaks at 398.80 eV, 399.75 eV and 401.00 eV. A lighter spectrum shows the result of a second line scan with slightly reduced amplitude and a loss of the 401.00 peak. a(iii), O-K STXM spectrum of Particle 2 showing features at 531.45 eV and 534.50 eV. b(i), C-K STXM spectra of Particle 33. Features from a(i) are marked as well as further positions at 285.30 eV and 286.85 eV. The grey spectrum corresponds to the same region acquired a second time showing loss of the 288.15-eV peak and generation of peaks at 286.85 eV and 285.30 eV. b(ii), N-K STXM spectrum of Particle 33. b(iii), O-K STXM spectrum of Particle 33. Peak positions are summarized in Table 2.