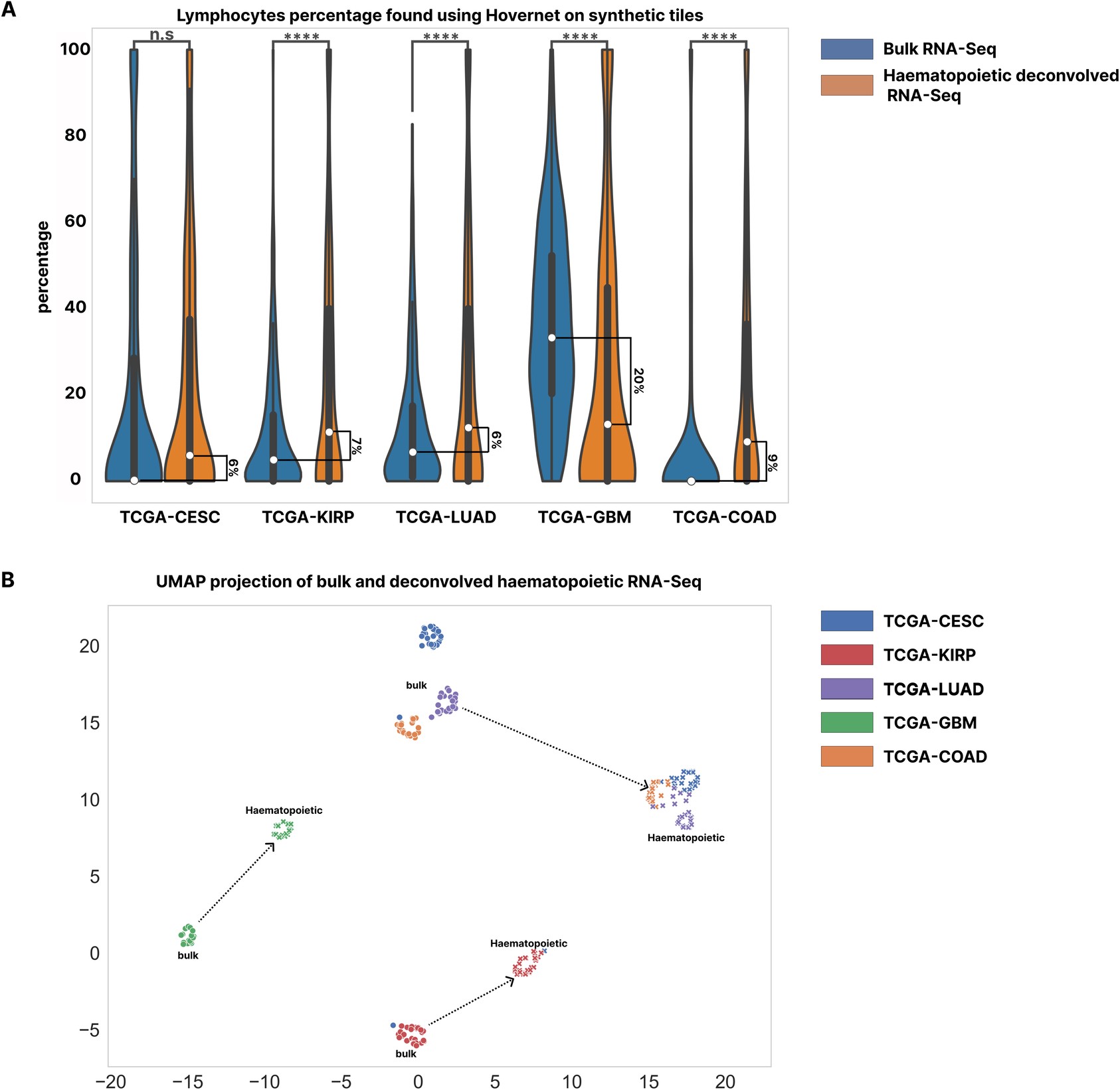
Extended Data Fig. 1: Cell-percentage comparison between using bulk RNA-Seq and de-convolved expression.

a. Percentage of lymphocytes cells found by Hovernet in synthetic tiles generated using bulk RNA-Seq and haematopoietic de-convolved RNA-Seq. A significantly higher percentage of lymphocytes was found in all four out of five cancer types with a significantly p-value in four out of five of them (TCGA-CESC p-value = 0.15; TCGA-KIRP p-value = 6.08 × 10−21; TCGA-LUAD p-value = 9.86 × 10−16; TCGA-GBM p-value = 2.02 × 10−7; TCGA-COAD p-value = 1.07 × 10−22). The median difference is annotated in the plot per cancer type. b. UMAP projection of the bulk RNA-Seq expression (circles) and the counterpart deconvolved haematopoietic RNA-Seq (crosses). Clear differences can be observed in the expression, with a mean percentage difference of 7% across the cancer types, which corresponds to a similar increase in lymphocytes in the majority of the cancer types.