Extended Data Fig. 5: Patient’s responses to therapies and retained in matched TOs.
From: Lung tumouroids as a testing platform for precision CAR T cell therapy

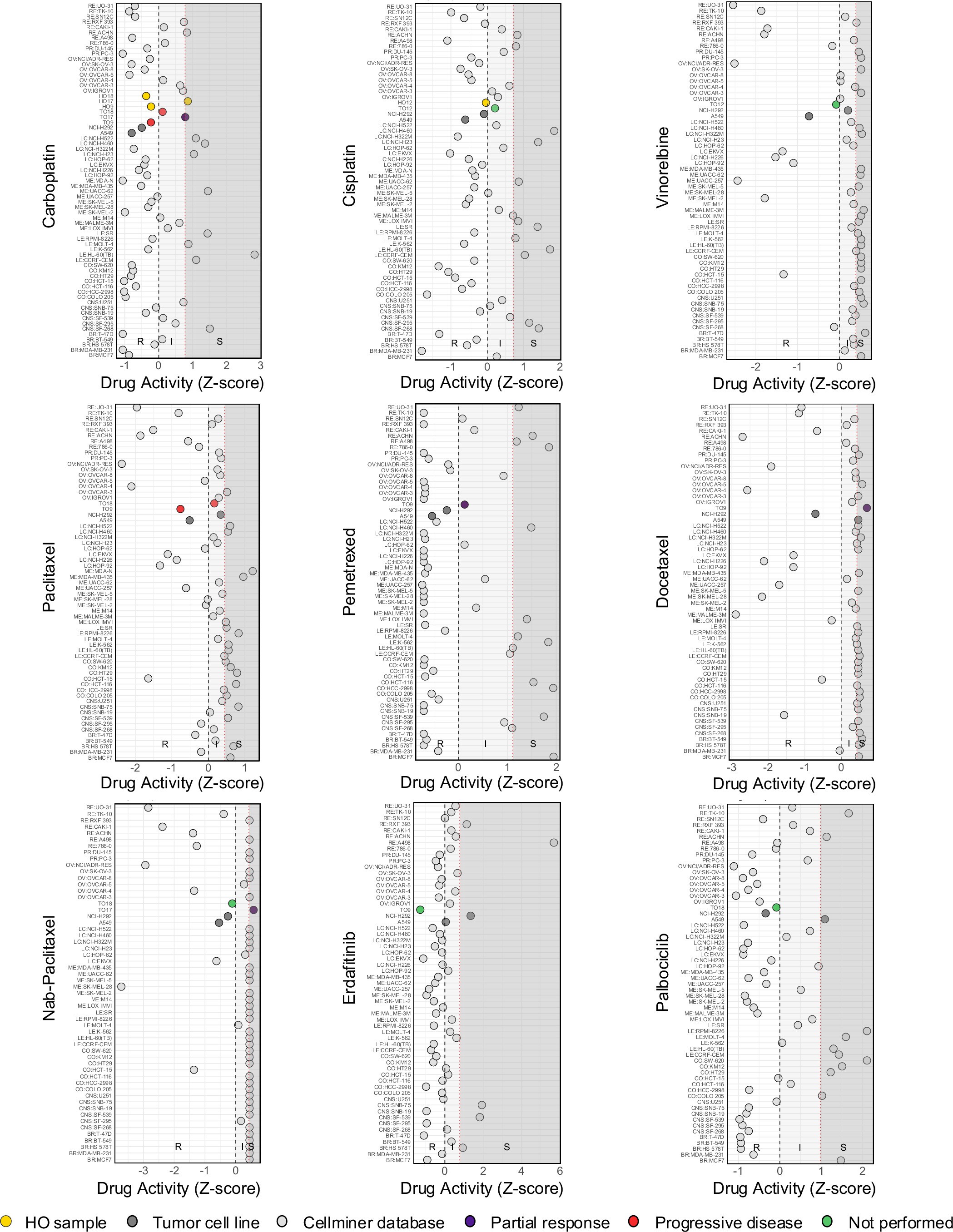
Dot plot panels showing drug activity Z-scores (correlating positively with drug sensitivity) from CellMiner database. Based on these scores, cell lines are categorized as resistant (R), intermediate (I), or sensitive (S) to each chemotherapeutic agent. Experimental data from TOs and lung cancer cell lines (A549, NCI-H292, dark grey dots) were aligned with CellMiner database (light grey dots) to infer TO drug sensitivity. For drugs planned in patients’ clinical courses where clinical outcome data are unavailable or the drug was not administered, responses were predicted in TOs (green circles).