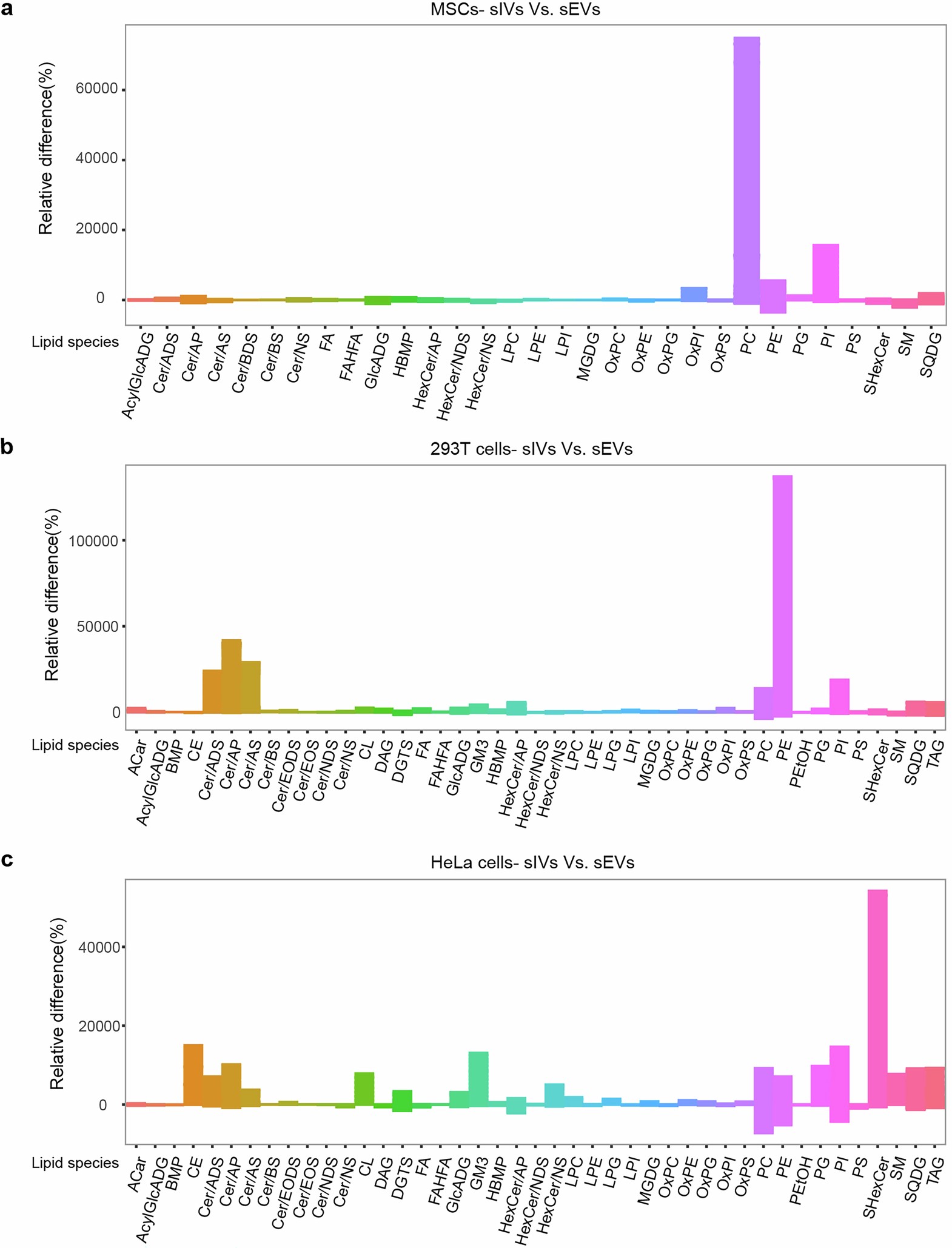
Extended Data Fig. 2: Column chart of lipid profiles of sIVs and sEVs from MSCs, 293 T cells, and HeLa cells.

(a–c) Lipidomic bar plots depicting changes in metabolite content and lipid classification from MSCs (a), 293 T cells (b), and HeLa cells (c). The vertical axis represents the relative percentage change in lipid content of each substance in the compared groups. A zero-percentage change indicates equal lipid content between the two groups; positive values indicate higher lipid content in the sIV group, while negative values indicate higher content in the sEV group. The horizontal axis shows the lipid classification.