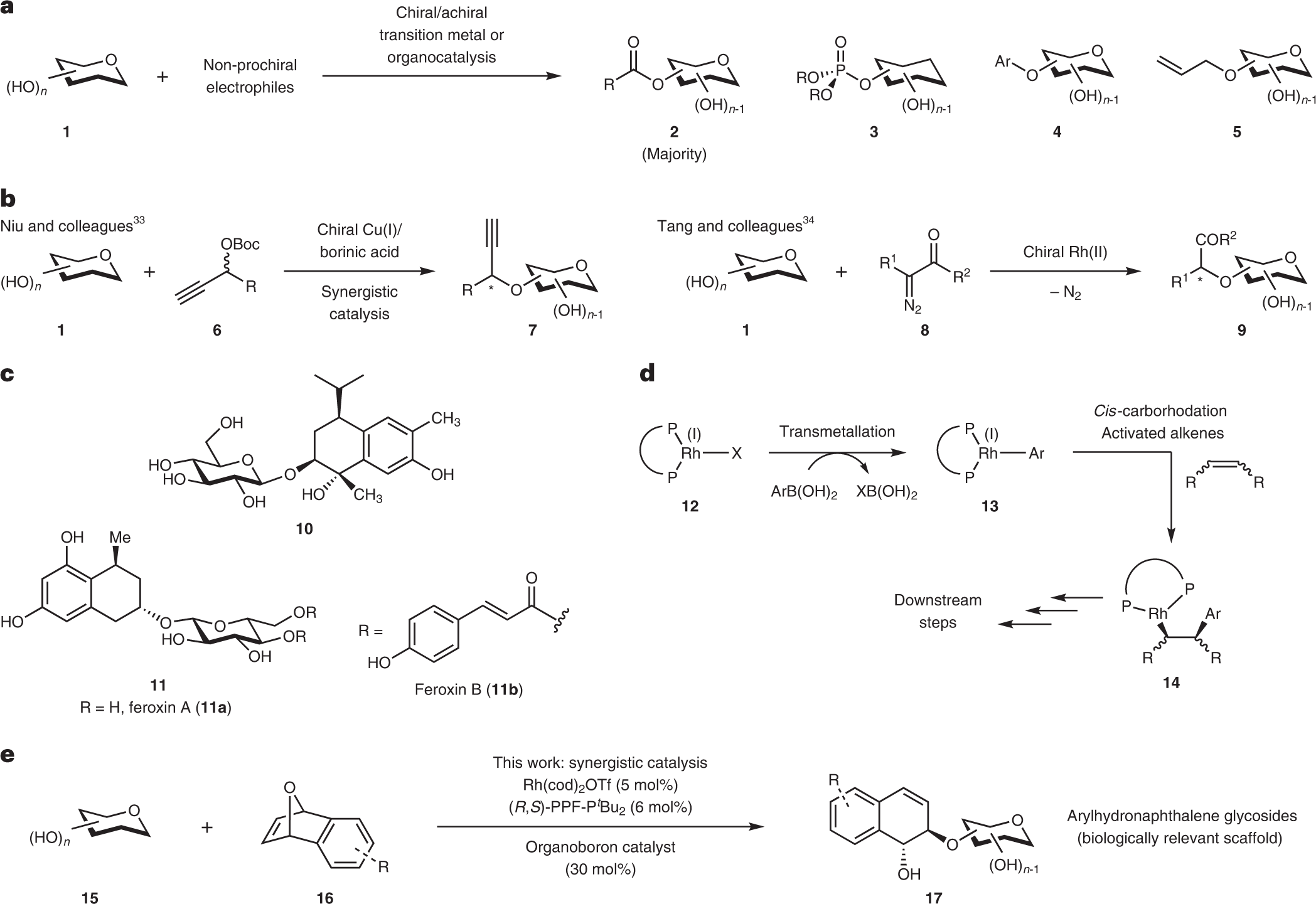
Fig. 1: Prior reports of site-selective functionalizations, the conventional role of organoboron reagents in Rh(I) catalysis and current work.

a, Site-selective functionalizations with non-prochiral electrophiles. b, Rare examples of site-selective glycofunctionalizations with concomitant external chirality generation. Asterisks denote new stereogenic centres formed with simultaneous regio- and enantio-control by the participating catalysts. c, Bioactive arylnaphthalene glycosides. Compound 10 inhibits Eppstein-Barr Virus Early Antigen (EBV-EA) activation and possesses potent anti-tumour promoting activity. Feroxins A and B possess cathartic properties. d, Established transmetallating role of boronic acids in Rh(I) catalysis. e, Current work of synergistically employing Rh(I) and organoboron catalysis to achieve multiple stereocontrol in synthesizing arylhydronaphthalene glycosides. Boc, tert-butyloxycarbonyl.