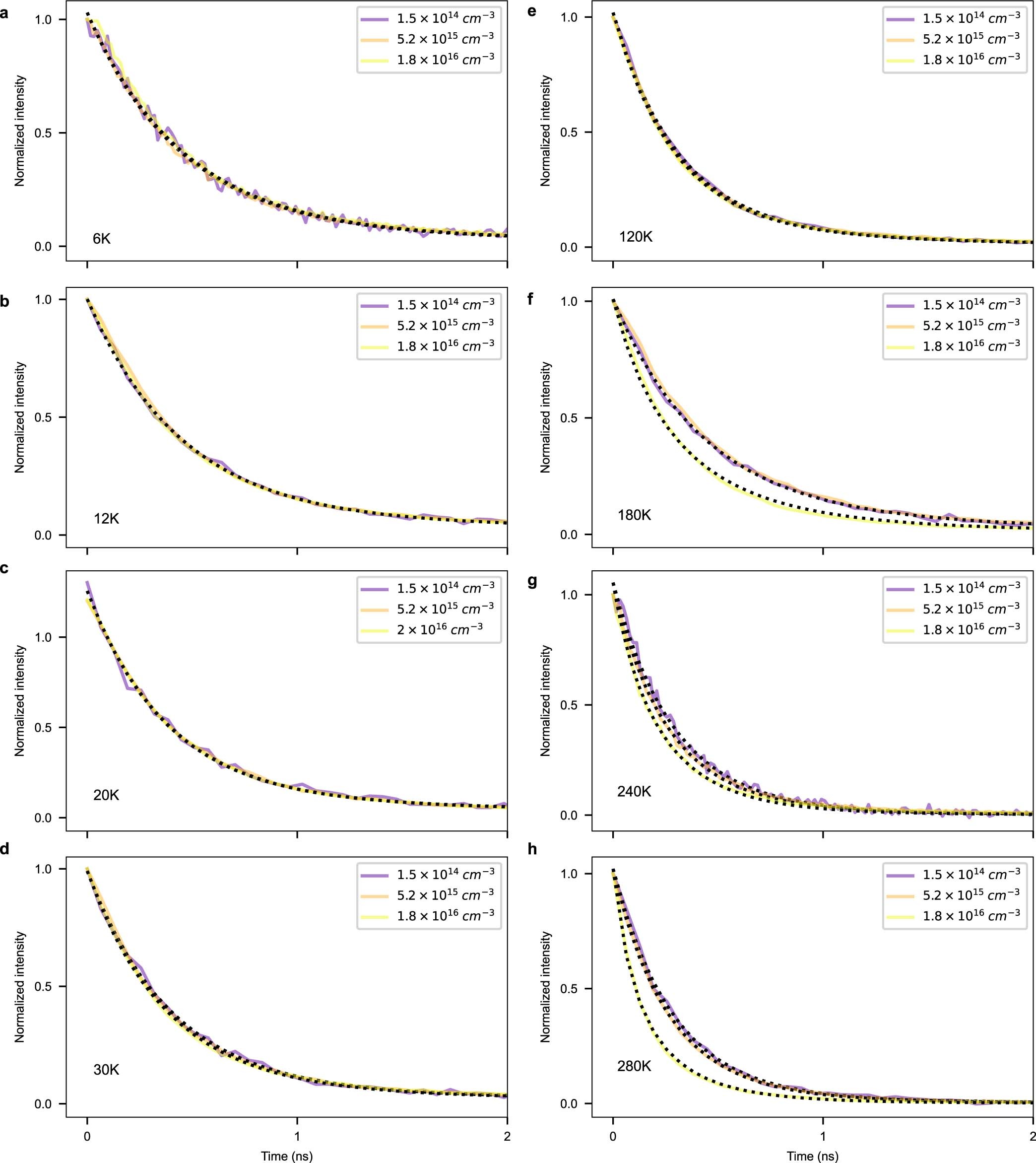
Extended Data Fig. 5: Temperature dependent EEA data of N-Ph PDI (2) crystal.
From: Exciton annihilation in molecular aggregates suppressed through quantum interference

Exciton density dependent time resolved photoluminescence decay for the N-Ph PDI (2) crystal at (a-h) 6 K, 12 K, 20 K, 30 K, 120 K, 180 K, 240 K, and 280 K, respectively.