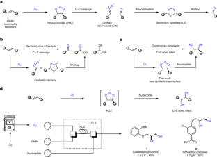
Abstract
Ozonolysis is a widely used and practical synthetic technique for the deconstructive oxidation of olefins using ozone. While there are numerous ozonolysis reactions that give a myriad of products and functionalities, almost all of them involve scission at the olefin double bond. Using ozone as a constructive reagent rather than a deconstructive one would open new domains of chemical reactivity and amplify molecular complexity in synthetic methodology. Here we report the use of primary ozonides as preparative synthetic intermediates for a safe and green olefin syn-dihydroxylation reaction. Furthermore, we have demonstrated this method using a continuous flow reactor that virtually eliminates peroxide accumulation and extended these applications towards the synthesis of pharmaceutically relevant small molecules such as guaifenesin, the active ingredient in Mucinex, and a precursor to ponesimod, a drug to treat multiple sclerosis.

This is a preview of subscription content, access via your institution
Access options
Access Nature and 54 other Nature Portfolio journals
Get Nature+, our best-value online-access subscription
$32.99 / 30 days
cancel any time
Subscribe to this journal
Receive 12 print issues and online access
$259.00 per year
only $21.58 per issue
Buy this article
- Purchase on SpringerLink
- Instant access to the full article PDF.
USD 39.95
Prices may be subject to local taxes which are calculated during checkout



Similar content being viewed by others
Data availability
All data are available in the main text or the Supplementary Information.
References
Harrison, D. N. The ozone in the Earth’s atmosphere. Nature 124, 58–61 (1929).
Atapalkar, R. S., Athawale, P. R., Reddy, D. S. & Kulkarni, A. A. Scalable, sustainable and catalyst-free continuous flow ozonolysis of fatty acids. Green Chem. 23, 2391–2396 (2021).
Bailey, P. S. Ozonation in Organic Chemistry, Volume I: Olefinic Compounds (Academic Press, 1978).
Vennerstrom, J. L. et al. Identification of an antimalarial synthetic trioxolane drug development candidate. Nature 430, 900–904 (2004).
Wender, P. A. et al. Scalable synthesis of bryostatin 1 and analogs, adjuvant leads against latent HIV. Science 358, 218–223 (2017).
Fisher, T. J. & Dussault, P. H. Alkene ozonolysis. Tetrahedron 73, 4233–4258 (2017).
Audran, G., Marque, S. R. A. & Santelli, M. Ozone, chemical reactivity, and biological functions. Tetrahedron 74, 6221–6261 (2018).
Schreiber, S. L., Claus, R. E. & Reagan, J. Ozonolytic cleavage of cycloalkenes to terminally differentiated products. Tetrahedron Lett. 23, 3867–3870 (1982).
Dussault, P. H. & Liu, X. SnCl4-mediated reaction of ozonides with allyltrimethylsilane: formation of 1,2-dioxolanes. Tetrahedron Lett. 40, 6553–6556 (1999).
Dussault, P. H. & Raible, J. M. Ozonolysis in the presence of Lewis acids: directed addition to carbonyl oxides. Org. Lett. 2, 3377–3379 (2000).
Smaligo, A. J. et al. Hydroalkenylative C(sp3)-C(sp2) bond fragmentation. Science 364, 681–685 (2019).
Swain, M., Sadykhov, G., Wang, R. & Kwon, O. Dealkenylative alkenylation: formal σ-bond metathesis of olefins. Angew. Chem. Int. Ed. 59, 17565–17571 (2020).
Swain, M., Bunnell, T. B., Kim, J. & Kwon, O. Dealkenylative alkynylation using catalytic feii and vitamin C. J. Am. Chem. Soc. 144, 14828–14837 (2022).
Huang, D., Schuppe, A. W., Liang, M. Z. & Newhouse, T. R. Scalable procedure for the fragmentation of hydroperoxides mediated by copper and iron tetrafluoroborate salts. Org. Biomol. Chem. 14, 6197–6200 (2016).
Criegee, R. Mechanism of ozonolysis. Angew. Chem. Int. Ed. 14, 745–752 (1975).
Welz, O. et al. Direct kinetic measurements of Criegee intermediate (CH2COO) formed by reaction of CH2I with O2. Science 335, 204–207 (2012).
Tattjes, C. A. et al. Direct measurements of conformer-dependent reactivity of the Criegee intermediate CH3CHOO. Science 340, 177–180 (2013).
Su, Y.-T. et al. Extremely rapid self-reaction of the simplest Criegee intermediate CH2OO and its implications in atmospheric chemistry. Nat. Chem. 6, 477–483 (2014).
Bunnelle, W. H. Preparation, properties, and reactions of carbonyl oxides. Chem. Rev. 91, 335–362 (1991).
Criegee, R. & Schröder, G. Ein Kristallisiertes Primärozonid. Chem. Ber. 93, 689–700 (1960).
Bailey, P. S., Thompson, J. A. & Shoulders, B. A. Structure of the initial ozone-olefin adduct. J. Am. Chem. Soc. 88, 4098–4099 (1966).
Durham, L. J., Greenwood, F. L. & Ozonolysis, X. Molozonide as an intermediate in the ozonolysis of cis- and trans-alkenes. J. Org. Chem. 33, 1629–1632 (1968).
Pilevar, A., Hosseini, A., Becker, J. & Schreiner, P. R. Syn-dihydroxylation of alkenes using a sterically demanding cyclic diacyl peroxide. J. Org. Chem. 84, 12377–12386 (2019).
Greenwood, F. L. Studies in ozonolysis. IV. Steric effects in determining the existence of the molozonide. J. Org. Chem. 29, 1321–1324 (1964).
Greenwood, F. L. Ozonolysis. VII. Factors controlling the stability of cis- and trans-molozonides of straight-chain alkenes. Role of nucleophilic solvents in alkene-ozone reactions. J. Org. Chem. 30, 3108–3111 (1965).
Tekle-Röttering, A. et al. Ozonation of pyridine and other N-heterocyclic aromatic compounds: kinetics, stoichiometry, identification of products and elucidation of pathways. Water Res. 102, 582–593 (2016).
Willand-Charnley, R., Fisher, T. J., Johnson, B. M. & Dussault, P. H. Pyridine is an organocatalyst for the reductive ozonolysis of alkenes. Org. Lett. 14, 2242–2245 (2012).
Bailey, P. S. Ozonation in Organic Chemistry, Volume II: Nonolefinic Compounds (Academic Press,1982).
Irfan, M., Glasnov, T. N. & Kappe, C. O. Continuous flow ozonolysis in a laboratory scale reactor. Org. Lett. 13, 984–987 (2011).
O’Brien, M., Baxendale, I. R. & Ley, S. V. Flow ozonolysis using a semipermeable Teflon AF-2400 membrane to effect gas–liquid contact. Org. Lett. 12, 1596–1598 (2010).
Ragan, J. A. et al. Safe execution of a large-scale ozonolysis: preparation of the bisulfite adduct of 2-hydroxyindan-2-carboxaldehyde and its utility in a reductive amination. Org. Proc. Res. Dev. 7, 155–160 (2003).
Nobis, M. & Roberge, D. M. Mastering ozonolysis: production from laboratory to ton scale in continuous flow. Chim. Oggi 29, 56–58 (2011).
Hai, T. A. P., Samoylov, A. A., Rajput, B. S. & Burkart, M. D. Laboratory ozonolysis using an integrated batch-DIY flow system for renewable material production. ACS Omega 7, 15350–15358 (2022).
Polterauer, D. et al. Process intensification of ozonolysis reactions using dedicated microstructured reactors. React. Chem. Eng. 6, 2253–2258 (2021).
Vaz, M., Courboin, D., Winter, M. & Roth, P. M. C. Scale-up of ozonolysis using inherently safer technology in continuous flow under pressure: case study on β-pinene. Org. Process Res. Dev. 25, 1598–1597 (2021).
Zhang, H. & Buchwald, S. L. Palladium-catalyzed Negishi coupling of α-CF3 oxiranyl zincate: access to Chiral CF3-substituted benzylic tertiary alcohols. J. Am. Chem. Soc. 139, 11590–11594 (2017).
Wirth, T. Microreactors in Organic Synthesis and Catalysis (Wiley-VCH, 2008).
Acknowledgements
A.A.T. and D.K.A. are grateful for the generous financial support from Texas A&M University and the Welch Foundation (grant no. A-2081-20210327). A.A.T. and D.K.A. thank M. Garcia for his preliminary experiments performed before the research described here.
Author information
Authors and Affiliations
Contributions
A.A.T. conceived the work. A.A.T. and D.K.A. designed the experiments. D.K.A. conducted the synthetic experiments including NMR experiments, synthesis of starting materials, titrations, purifications and flow experiments. A.A.T. and D.K.A. wrote the manuscript.
Corresponding author
Ethics declarations
Competing interests
The authors declare no competing interests.
Peer review
Peer review information
Nature Chemistry thanks Patrick Dussault, Christopher Hone and the other, anonymous, reviewer(s) for their contribution to the peer review of this work.
Additional information
Publisher’s note Springer Nature remains neutral with regard to jurisdictional claims in published maps and institutional affiliations.
Supplementary information
Supplementary Information
Supplementary Figs. 1–80, Tables 1–17 and Experimental procedures and spectra.
Rights and permissions
Springer Nature or its licensor (e.g. a society or other partner) holds exclusive rights to this article under a publishing agreement with the author(s) or other rightsholder(s); author self-archiving of the accepted manuscript version of this article is solely governed by the terms of such publishing agreement and applicable law.
About this article
Cite this article
Arriaga, D.K., Thomas, A.A. Capturing primary ozonides for a syn-dihydroxylation of olefins. Nat. Chem. 15, 1262–1266 (2023). https://doi.org/10.1038/s41557-023-01247-5
Received:
Accepted:
Published:
Version of record:
Issue date:
DOI: https://doi.org/10.1038/s41557-023-01247-5
This article is cited by
-
Triazenolysis of alkenes as an aza version of ozonolysis
Nature Chemistry (2025)
-
Photoexcited nitroarene-enabled carbon chain-elongated oxidation of alkenes via tandem oxidative cleavage and dipolar cycloaddition
Nature Communications (2025)
-
Continuous flow ozonolysis of cardanol for greener synthesis of bio-based monomers
Journal of Flow Chemistry (2024)
-
Functionalization of unsaturated carbon–carbon bonds by continuous-flow ozonolysis
Journal of Flow Chemistry (2024)


