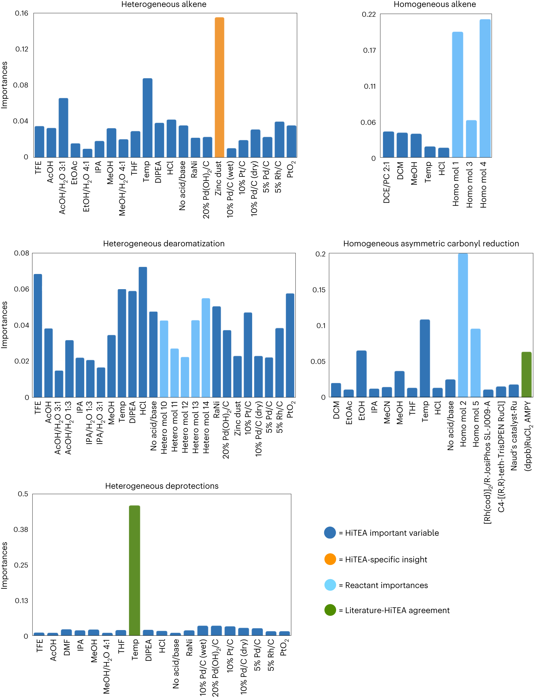
Fig. 5: HiTEA variable importance analysis on heterogeneous and homogeneous hydrogenation datasets.
From: Probing the chemical ‘reactome’ with high-throughput experimentation data

Where appropriate, reactant importances are shown. HiTEA-specific variable importances are highlighted, as well as agreement between the literature and HiTEA variable importances. Acronym structures can be found in Supplementary Fig. 11.